| 番号 |
名 称 |
名称公表
通し番号 |
名称公表年月日
名称公表告示番号 |
構 造 式 |
常温における性状 |
| 1 |
4'-(アジドスルホニル)アセトアニリド |
9072 |
平成11年12月27日
労働省告示第150号 |
 |
白色結晶 |
| 2 |
N-[3-アセチルアミノ-4-(2-カルバモイル-4-ニトロフェニルアゾ)フェニル]-2,2'-イミノ二酢酸ジメチルとN-[3-アセチルアミノ-4-(2-シアノ-4-ニトロフェニルアゾ)フェニル]-2,2'-イミノ二酢酸ジメチルとN-[5-アセチルアミノ-2-(2-シアノ-4-ニトロフェニルアゾ)フェニル]-2,2'-イミノ二酢酸ジメチルの混合物 |
9228 |
平成12年3月27日
労働省告示第10号 |
 |
黒褐色粉末 |
| 3 |
4-(4-アミノ-2,5-ジメトキシフェニルアゾ)安息香酸=一塩酸塩 |
9591 |
平成12年9月27日
労働省告示第91号 |
 |
暗紫色粉体 |
| 4 |
6-アミノ-5-(2-ヒドロキシ-4-ニトロフェニルアゾ)-N-メチル-2-ナフタレンスルホンアミド |
9753 |
平成12年12月27日
労働省告示第129号 |
 |
黒褐色粉末 |
| 5 |
エタンスルホニル=クロリド |
9760 |
平成12年12月27日
労働省告示第129号 |
 |
透明液体 |
| 6 |
10-(3-クロロ-1-アザビシクロ[2.2.2]オクタ-3-イルメチル)フェノチアジン |
9767 |
平成12年12月27日
労働省告示第129号 |
 |
白色結晶性粉末 |
| 7 |
2-クロロ-3-イソブトキシ-1-シクロブタノン |
9612 |
平成12年9月27日
労働省告示第91号 |
 |
淡黄色透明液体 |
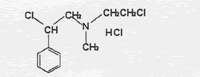
| 8 |
β-クロロ-N-(2-クロロエチル)-N-メチルフェネチルアミン |
9769 |
平成12年12月27日
労働省告示第129号 |
 |
黄色〜短褐色オイル |
| 9 |
β-クロロ-N-(2-クロロエチル)-N-メチルフェネチルアミン=一塩酸塩 |
9770 |
平成12年12月27日
労働省告示第129号 |
 |
灰白色結晶性粉末 |
| 10 |
4-クロロメチルベンジル=アルコール |
9781 |
平成12年12月27日
労働省告示第129号 |
 |
白色結晶 |
| 11 |
5-ジエチルアミノ-5'-ニトロ-2,2'-アゾジフェノール |
9789 |
平成12年12月27日
労働省告示第129号 |
 |
黒褐色粉末 |
| 12 |
1,3,2-ジオキサチオラン=2-オキシド |
9796 |
平成12年12月27日
労働省告示第129号 |
 |
無色透明液体 |
| 13 |
1,3-ジクロロ-5-(クロロメチルチオ)ベンゼンと1,3-ジクロロ-5-(ジクロロメチルチオ)ベンゼンの混合物 |
9450 |
平成12年6月27日
労働省告示第56号 |
 |
黄色液体 |
| 14 |
2,2-ジクロロ-3-メチルブチルアルデヒド |
9802 |
平成12年12月27日
労働省告示第129号 |
 |
無色液体 |
| 15 |
3,4-ジフルオロ-o-アニシジン |
9808 |
平成12年12月27日
労働省告示第129号 |
 |
黒色液体 |
| 16 |
1,2-ジフルオロ-3-メトキシ-4-ニトロベンゼン |
9656 |
平成12年9月27日
労働省告示第91号 |
 |
黄色液体 |
| 17 |
2H-ジベンゾ[c,e][1,2]オキサホスフィニン=2-オキシドと1,4-ナフトキノンと(フェノール・ホルムアルデヒド重縮合物と1-クロロ-2,3-エポキシプロパンの反応生成物)の反応生成物 |
10101 |
平成13年6月27日
労働省告示第225号 |
(欄外に表示) |
褐色固体 |
| 18 |
2,4-ジメチルベンゼンスルホニル=クロリド |
9484 |
平成12年6月27日
労働省告示第56号 |
 |
白色粉末 |
| 19 |
2,4,4-トリクロロ-3-イソブトキシ-2-シクロブテン-1-オン |
9681 |
平成12年9月27日
労働省告示第91号 |
 |
無色〜淡黄色液体 |
| 20 |
p-トルエンスルホニルアジド |
9503 |
平成12年6月27日
労働省告示第56号 |
 |
淡黄色液体 |
| 21 |
6-ニトロインドール |
9322 |
平成12年3月27日
労働省告示第10号 |
 |
黄色結晶 |
| 22 |
6-ニトロインドリン |
9321 |
平成12年3月27日
労働省告示第10号 |
 |
赤色結晶 |
| 23 |
ビス(2,3-エポキシプロピル)ジスルフィド |
9325 |
平成12年3月27日
労働省告示第10号 |
 |
淡黄色液体 |
| 24 |
N,N'-ビス(2-クロロエチル)ベンズヒドリルアミン=一塩酸塩 |
9328 |
平成12年3月27日
労働省告示第10号 |
 |
白色結晶性粉末 |
| 25 |
2-(4-ビフェニリル)-2-クロロ酢酸ナトリウム |
9181 |
平成11年12月27日
労働省告示第150号 |
 |
白色粉体 |
| 26 |
3-ピリジルヒドラジン |
10014 |
平成13年3月27日
労働省告示第99号 |
 |
黄茶色結晶 |
| 27 |
(フェノール・ホルムアルデヒド重縮合物のグリシジルエーテル化反応生成物)とチオ尿素の反応生成物 |
10015 |
平成13年3月27日
労働省告示第99号 |
(欄外に表示) |
無色液体 |
| 28 |
4-tert-ブチルピロカテコール・1-クロロ-2,3-エポキシプロパン重縮合物 |
9532 |
平成12年6月27日
労働省告示第56号 |
 |
液体 |
| 29 |
4'-ブロモメチル-2-ビフェニルカルボン酸=tert-ブチル |
10028 |
平成13年3月27日
労働省告示第99号 |
 |
白色結晶性粉末 |
| 30 |
ベンゼンチオスルホン-S-酸クロロメチル |
10148 |
平成13年6月27日
労働省告示第225号 |
 |
白色粉末 |