| ||
| II | 圧力容器構造規格(平成15年厚生労働省告示第196号。以下IIにおいて「新規格」という。)関係 | ||||||||||||||||||||||||||||||||||||||||||||||||||||||||||||||||||||||||||||||
| 第1 | 圧力容器構造規格(平成元年労働省告示第66号。以下IIにおいて「旧規格」という。)との相違点 | ||||||||||||||||||||||||||||||||||||||||||||||||||||||||||||||||||||||||||||||
| 1 | 旧規格で定めていた仕様に関する規定について、安全上必要な最小限の規定を除き性能規定化を図ったこと。ただし、最終的な安全確認を行う試験方法に係る規定については、従前と同様の規定を置いたこと。 | ||||||||||||||||||||||||||||||||||||||||||||||||||||||||||||||||||||||||||||||
| 2 | 新規格に定められている圧力容器の構造等に関する規定について、JIS B8265(圧力容器の構造−一般事項)の規定との整合化を図ったこと。 | ||||||||||||||||||||||||||||||||||||||||||||||||||||||||||||||||||||||||||||||
| 3 | 新規格に定められている各種試験方法について、JISの当該試験方法を定めた規格との整合化を図ったこと。 |
||||||||||||||||||||||||||||||||||||||||||||||||||||||||||||||||||||||||||||||
| 第2 | 細部事項 | ||||||||||||||||||||||||||||||||||||||||||||||||||||||||||||||||||||||||||||||
| 1 | 第1条関係 | ||||||||||||||||||||||||||||||||||||||||||||||||||||||||||||||||||||||||||||||
| (1) | 「主要材料」とは、圧力容器の圧力を受ける部分に用いる材料をいうものであり、容器内部の取付物及び支持金具類の材料は、これに該当しないものであること。 | ||||||||||||||||||||||||||||||||||||||||||||||||||||||||||||||||||||||||||||||
| (2) | 使用温度は、圧力容器の使用時における材料の中心の温度(外面温度と内面温度との平均値)をとることとするが、直火式第一種圧力容器の伝熱面における材料の温度は、内部の蒸気又は液体の最高温度に30℃を加えた温度とすること。 | ||||||||||||||||||||||||||||||||||||||||||||||||||||||||||||||||||||||||||||||
| (3) | 「安全な化学的成分及び機械的性質を有するもの」については、Iの第2の1の(1)のイによること。 | ||||||||||||||||||||||||||||||||||||||||||||||||||||||||||||||||||||||||||||||
| (4) | 本条の規定に適合する主要材料として、例えば、JISの材料規定に定められた適用範囲、製造方法、化学成分、機械的性質、試験等に適合した以下の材料があること。 なお、外国規格等の取扱いについては、Iの第2の1の(1)のウの(イ)によること。 JIS G3101(一般構造用圧延鋼材)、JIS G3103(ボイラ及び圧力容器用炭素鋼及びモリブデン鋼鋼板)、JIS G3106(溶接構造用圧延鋼材)、JIS G3114(溶接構造用耐候性熱間圧延鋼材)、JIS G3115(圧力容器用鋼板)、JIS G3116(高圧ガス容器用鋼板及び鋼帯)、JIS G3118(中・常温圧力容器用炭素鋼鋼板)、JIS G3119(ボイラ及び圧力容器用マンガンモリブデン鋼及びマンガンモリブデンニッケル鋼鋼板)、JIS G3120(圧力容器用調質型マンガンモリブデン鋼及びマンガンモリブデンニッケル鋼鋼板)、JIS G3126(低温圧力容器用炭素鋼鋼板)、JIS G3127(低温圧力容器用ニッケル鋼鋼板)、JIS G3131(熱間圧延軟鋼板及び鋼帯)、JIS G3201(炭素鋼鍛鋼品)、JIS G3202(圧力容器用炭素鋼鍛鋼品)、JIS G3203(高温圧力容器用合金鋼鍛鋼品)、JIS G3204(圧力容器用調質型合金鋼鍛鋼品)、JIS G3205(低温圧力容器用鍛鋼品)、JIS G3206(高温圧力容器用高強度クロムモリブデン鋼鍛鋼品)、JIS G3214(圧力容器用ステンレス鋼鍛鋼品)、JIS G3452(配管用炭素鋼鋼管)、JIS G3454(圧力配管用炭素鋼鋼管)、JIS G3455(高圧配管用炭素鋼鋼管)、JIS G3456(高温配管用炭素鋼鋼管)、JIS G3457(配管用アーク溶接炭素鋼鋼管)、JIS G3458(配管用合金鋼鋼管)、JIS G3459(配管用ステンレス鋼鋼管)、JIS G3460(低温配管用鋼管)、JIS G3461(ボイラ・熱交換器用炭素鋼鋼管)、JIS G3462(ボイラ・熱交換器用合金鋼鋼管)、JIS G3463(ボイラ・熱交換器用ステンレス鋼鋼管)、JIS G3464(低温熱交換器用鋼管)、JIS G3467(加熱炉用鋼管)、JIS G3468(配管用溶接大径ステンレス鋼鋼管)、JIS G4051(機械構造用炭素鋼鋼材)、JIS G4053(機械構造用合金鋼鋼材)、JIS G4107(高温用合金鋼ボルト材)、JIS G4108(特殊用途合金鋼ボルト用棒鋼)、JIS G4109(ボイラ及び圧力容器用クロムモリブデン鋼鋼板)、JIS G4110(高温圧力容器用高強度クロムモリブデン鋼及びクロムモリブデンバナジウム鋼鋼板)、JIS G4202(アルミニウムクロムモリブデン鋼鋼材)、JIS G4303(ステンレス鋼棒)、JIS G4304(熱間圧延ステンレス鋼板及び鋼帯)、JIS G4305(冷間圧延ステンレス鋼板及び鋼帯)、JIS G4311(耐熱鋼棒及び線材)、JIS G4312(耐熱鋼板及び鋼帯)、JIS G4901(耐食耐熱超合金棒)、JIS G4902(耐食耐熱超合金板)、JIS G4903(配管用継目無ニッケルクロム鉄合金管)、JISG4904(熱交換器用継目無ニッケルクロム鉄合金管)、JIS G5101 (炭素鋼鋳鋼品)、JIS G5102(溶接構造用鋳鋼品)、JIS G5111(構造用高張力炭素鋼及び低合金鋼鋳鋼品)、JIS G5121(ステンレス鋼鋳鋼品)、JIS G5122(耐熱鋼及び耐熱合金鋳鋼品)、JIS G5131(高マンガン鋼鋳鋼品)、JIS G5151(高温高圧用鋳鋼品)、JIS G5152(低温高圧用鋳鋼品)、JIS G5201(溶接構造用遠心力鋳鋼管)、JIS G5202(高温高圧用遠心力鋳鋼管)、JIS G5501(ねずみ鋳鉄品)、JIS G5502(球状黒鉛鋳鉄品)、JIS G5526(ダクタイル鋳鉄管)、JIS G5527(ダクタイル鋳鉄異形管)、JIS G5705(可鍛鋳鉄品)、JIS H3100(銅及び銅合金の板並びに条)、JIS H3250(銅及び銅合金の棒)、JIS H3300(銅及び銅合金の継目無管)、JIS H3320(銅及び銅合金の溶接管)、JIS H5120(銅及び銅合金鋳物)、JIS H5121(銅合金連続鋳造鋳物)、JIS H4000(アルミニウム及びアルミニウム合金の板及び条)、JIS H4040(アルミニウム及びアルミニウム合金の棒及び線)、JIS H4080(アルミニウム及びアルミニウム合金継目無管)、JIS H4090(アルミニウム及びアルミニウム合金溶接管)、JIS H4100(アルミニウム及びアルミニウム合金の押出形材)、JIS H4140(アルミニウム及びアルミニウム合金鍛造品)、JIS H5202(アルミニウム合金鋳物)、JIS H5302(アルミニウム合金ダイカスト)、JIS H4301(鉛板及び硬鉛板)、JIS H4311(一般工業用鉛及び鉛合金管)、JIS H4551(ニッケル及びニッケル合金板及び条)、JIS H4552(ニッケル及びニッケル合金継目無管)、JIS H4553(ニッケル及びニッケル合金棒)、JIS H4600(チタン及びチタン合金─板及び条)、JIS H4630(チタン及びチタン合金─継目無管)、JIS H4631(チタン及びチタン合金─熱交換器用管)、JIS H4635(チタン及びチタン合金─溶接管)、JIS H4650(チタン及びチタン合金─棒)並びにJIS B2051(可鍛鋳鉄弁及びダクタイル鋳鉄弁)の附属書Aに定めるダクタイル鉄鋳造品 |
||||||||||||||||||||||||||||||||||||||||||||||||||||||||||||||||||||||||||||||
| 2 | 第2条関係 | ||||||||||||||||||||||||||||||||||||||||||||||||||||||||||||||||||||||||||||||
| (1) | 本条の使用温度は、1の(2)によるほか、当該温度に代えて次のアからウまでの温度として差し支えないこと。 | ||||||||||||||||||||||||||||||||||||||||||||||||||||||||||||||||||||||||||||||
| ア | 火なし圧力容器の胴、鏡板等の材料の使用温度は、内容物の最高温度(低温容器の場合にあっては、最低温度)とすること。 | ||||||||||||||||||||||||||||||||||||||||||||||||||||||||||||||||||||||||||||||
| イ | 蒸気、液体及び一般のガスによって加熱される材料の使用温度は、これらの熱媒の最高温度とすること。 | ||||||||||||||||||||||||||||||||||||||||||||||||||||||||||||||||||||||||||||||
| ウ | 燃焼排ガス等によって加熱される材料の使用温度は、容器の内容物の最高温度に規定された温度(1の(2)の直火式第一種圧力容器の伝熱面における材料の温度の算定のときに加算すべき温度30℃をいう。)を加えた温度又は伝熱面の内外面において求められた熱伝達率及び材料の熱伝達率によって算定された材料の内外面の平均温度とすること。 | ||||||||||||||||||||||||||||||||||||||||||||||||||||||||||||||||||||||||||||||
| (2) | 表第3号の「致死的物質」とは、砒素化合物、ホスゲン、無機シアン化合物等のようにその少量を吸入しても生命を奪われるおそれのある有毒物質をいうものであること。 | ||||||||||||||||||||||||||||||||||||||||||||||||||||||||||||||||||||||||||||||
| (3) | 表第2号の「これと同等以下の機械的性質を有するもの」として、例えば、JIS G3114(SMA400AW、SMA400AP、SMA490AW及びSMA490APを除く。)が、表第3号の「これと同等以下の機械的性質を有するもの」として、例えば、JIS
G3114のSMA400AW、SMA400AP、SMA490AW及びSMA490APが該当するものであること。 |
||||||||||||||||||||||||||||||||||||||||||||||||||||||||||||||||||||||||||||||
| 3 | 第3条関係 | ||||||||||||||||||||||||||||||||||||||||||||||||||||||||||||||||||||||||||||||
| (1) | 第1項関係 | ||||||||||||||||||||||||||||||||||||||||||||||||||||||||||||||||||||||||||||||
| ア | 材料の使用温度における引張強さ、降伏点及び0.2%耐力の取扱いについては、Iの第2の3の(1)のアによること。 | ||||||||||||||||||||||||||||||||||||||||||||||||||||||||||||||||||||||||||||||
| イ | ガスケット付きフランジ、管板、ガスケット付き平板、ジャケットの取付部等のように拘束された部分に加圧による変形が加わることにより漏れその他の機能不良を生ずるおそれのある部分の取扱いについては、Iの第2の3の(1)のイによること。 | ||||||||||||||||||||||||||||||||||||||||||||||||||||||||||||||||||||||||||||||
| ウ | 第3号の「熱処理等により強度を高めたボルト」の取扱いについては、Iの第2の3の(1)のウによること。 | ||||||||||||||||||||||||||||||||||||||||||||||||||||||||||||||||||||||||||||||
| (2) | 第2項関係 「クリープ領域」の趣旨及びクリープ領域となる温度が明確でない鋼材の取扱いについては、Iの第2の3の(2)によること。 |
||||||||||||||||||||||||||||||||||||||||||||||||||||||||||||||||||||||||||||||
| (3) | その他 別表の許容引張応力の値を用いるときは、本条の規定に基づき当該材料の許容引張応力を定めたものとして差し支えないこと。 なお、外国規格等において、本条と同様の方法により、これらの材料の許容引張応力が定められている場合には、当該規格に定められた値をとって差し支えないこと。 |
||||||||||||||||||||||||||||||||||||||||||||||||||||||||||||||||||||||||||||||
| 4 | 第4条関係 | ||||||||||||||||||||||||||||||||||||||||||||||||||||||||||||||||||||||||||||||
| (1) | 3の(1)のア及び(3)は、鋳造品について準用すること。 | ||||||||||||||||||||||||||||||||||||||||||||||||||||||||||||||||||||||||||||||
| (2) | 第2号のイの「都道府県労働局長が定める検査に合格したもの」については、Iの第2の4の(2)によること。 |
||||||||||||||||||||||||||||||||||||||||||||||||||||||||||||||||||||||||||||||
| 5 | 第5条関係 本条の規定の適用を受けるクラッド鋼として、例えば、JIS B8265の5.1.4のb)に規定するJIS規格材料があること。 |
||||||||||||||||||||||||||||||||||||||||||||||||||||||||||||||||||||||||||||||
| 6 | 第7条関係 第1項は、使用温度における材料の断面に生じる引張応力又は圧縮応力の平均値に材料の厚さ方向の曲げによる曲げ応力を加えた応力が、許容引張応力の1.5倍以下でなければならないことを規定したものであること。 |
||||||||||||||||||||||||||||||||||||||||||||||||||||||||||||||||||||||||||||||
| 7 | 第9条関係 「厚さ」については、Iの第2の5によること。 |
||||||||||||||||||||||||||||||||||||||||||||||||||||||||||||||||||||||||||||||
| 8 | 第11条関係 | ||||||||||||||||||||||||||||||||||||||||||||||||||||||||||||||||||||||||||||||
| (1)及び(2) 削除 |
|||||||||||||||||||||||||||||||||||||||||||||||||||||||||||||||||||||||||||||||
| 9 | 第12条関係 | ||||||||||||||||||||||||||||||||||||||||||||||||||||||||||||||||||||||||||||||
| (1) | 内面に圧力を受ける円筒胴の板の最小厚さの算定方法として、例えば、JIS B8265の5.2.1のa)の規定(この場合において、JIS B8265中「設計圧力」とあるのは「最高使用圧力」と、「設計温度」とあるのは「使用温度」と読み替えるものとすること。以下同じ。)による方法があること。また、この場合の胴の真円度として、例えば、JIS B8265の7.2.2の規定によるものがあること。 | ||||||||||||||||||||||||||||||||||||||||||||||||||||||||||||||||||||||||||||||
| (2) | 内面に圧力を受ける球形胴の板の最小厚さの算定方法として、例えば、JIS B8265の5.2.1のb)の規定による方法があること。この場合の胴の真円度は、例えば、JIS B8265の7.2.2によるものがあること。 | ||||||||||||||||||||||||||||||||||||||||||||||||||||||||||||||||||||||||||||||
| (3) | 本条の最小厚さを算定することができない特殊な形状のものについて、検定水圧試験によって、胴の板の厚さが本条の最小厚さ以上であるかどうか確認する方法として、例えば、別添2の方法によること。 |
||||||||||||||||||||||||||||||||||||||||||||||||||||||||||||||||||||||||||||||
| 10 | 第13条関係 | ||||||||||||||||||||||||||||||||||||||||||||||||||||||||||||||||||||||||||||||
| (1) | 第1項関係 | ||||||||||||||||||||||||||||||||||||||||||||||||||||||||||||||||||||||||||||||
| ア | 外面に圧力を受ける円筒胴の板の最小厚さの算定方法として、例えば、JIS B8265の5.2.3のa)の規定による方法があること。また、この場合の胴の真円度として、例えば、JIS
B8265の7.2.3の規定によるものがあること。 |
||||||||||||||||||||||||||||||||||||||||||||||||||||||||||||||||||||||||||||||
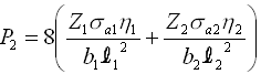
| イ | クラッド鋼を使用した外圧を受ける胴でクラッド材を強度計算の部材に加える場合には、最高使用圧力の算定方法として、例えば、次の算式により算定した値を板の厚さとし、クラッド鋼の母材を使用する材料としてアを適用する方法があること。
|
||||||||||||||||||||||||||||||||||||||||||||||||||||||||||||||||||||||||||||||
| ウ | 外面に圧力を受ける円筒胴の強め輪の取扱いについては、例えば、JIS B8265の5.2.5のa)の規定によること。 なお、強め輪を取り付ける場合には、胴の全周に沿って、完全に連続するように取り付けること。ただし、切り欠き、穴等がある強め輪であって、次に適合するものについては、この限りでないこと。 |
||||||||||||||||||||||||||||||||||||||||||||||||||||||||||||||||||||||||||||||
| (ア) | 図1の[A]若しくは[B]に示すような強め輪の突合せ溶接継手部又は同図の[C]に示すように胴の内面若しくは外面に取り付けられる強め輪の隣接した部分間の接合部が強め輪と胴との必要な合成断面二次モーメントを持つもの また、図1の[E]又は[F]に示すような部分を有する強め輪を胴の内側に取り付ける場合においては、[E]の部分の図示された断面が強め輪と胴との必要な合成断面二次モーメントを持つもの なお、[A]又は[E]のすき間が胴板の計算厚さの8倍以下の場合には、[A]又は[E]のすき間の部分の断面が持たなければならないモーメントを、強め輪の必要な断面二次モーメントに代えて強め輪と胴との必要な合成断面二次モーメントとすることができること。 ![]() |
||||||||||||||||||||||||||||||||||||||||||||||||||||||||||||||||||||||||||||||
| (イ) | 図1の [1] 支持されていない胴の弧の中心角が90°以下であること。 [2] 相隣り合う強め輪の胴を支持していない弧の配置が180°互い違いになっていること。 [3] (1)で求めた支持線間の距離が、次のいずれかの距離より大きいこと。 i 強め輪を1つおきにとったときの当該強め輪間の中心線間の距離 ii 鏡板の丸みの始まる部分から2番目の強め輪の中心線までの距離に、鏡板の丸みの始まる部分からの鏡板の深さの1/3を加えた距離 ![]() |
||||||||||||||||||||||||||||||||||||||||||||||||||||||||||||||||||||||||||||||
| エ | 次に掲げるものは強め輪とみなされること。 | ||||||||||||||||||||||||||||||||||||||||||||||||||||||||||||||||||||||||||||||
| (ア) | たな板、邪魔板等胴の長手軸に直角に取り付けられた平板構造物であって、強め輪としての効果があるように設計されたもの(胴の内側に取り付けられたものに限る。) | ||||||||||||||||||||||||||||||||||||||||||||||||||||||||||||||||||||||||||||||
| (イ) | 連続した輪を介して胴に取り付けられた内部ステー又は支えであって、胴の強め輪として用いられるもの | ||||||||||||||||||||||||||||||||||||||||||||||||||||||||||||||||||||||||||||||
| (ウ) | 本体胴とジャケットとの間に圧力のある容器のふた板又は他の輪形材であって、本体胴とジャケットの両方に取り付けられたもの | ||||||||||||||||||||||||||||||||||||||||||||||||||||||||||||||||||||||||||||||
| オ | 次の図のような円すい部を有する外圧胴で取付部に小さな丸みが設けられているものにあっては、
![]() |
||||||||||||||||||||||||||||||||||||||||||||||||||||||||||||||||||||||||||||||
| (2) | 第2項関係 | ||||||||||||||||||||||||||||||||||||||||||||||||||||||||||||||||||||||||||||||
| ア | 外面に圧力を受ける球形胴の板の最小厚さの算定方法として、例えば、JIS B8265の5.2.3のb)の規定による方法があること。 | ||||||||||||||||||||||||||||||||||||||||||||||||||||||||||||||||||||||||||||||
| イ | クラッド鋼を使用した外圧を受ける球形胴でクラッド材を強度計算の部材に加える場合の取扱いについては、(1)のイによること。 | ||||||||||||||||||||||||||||||||||||||||||||||||||||||||||||||||||||||||||||||
| (3) | その他 本条の最小厚さを算定することができない特殊な形状のものについて、検定水圧試験によって、胴の板の厚さが本条の最小厚さ以上であるかどうか確認する方法として、例えば、別添2の方法があること。 |
||||||||||||||||||||||||||||||||||||||||||||||||||||||||||||||||||||||||||||||
| 11 | 第14条関係 | ||||||||||||||||||||||||||||||||||||||||||||||||||||||||||||||||||||||||||||||
| (1) | 第1項の規定に適合する内面に圧力を受ける円すい胴の板の最小厚さの算定方法として、例えば、次の方法があること。また、この場合の胴の真円度として、例えば、JIS B8265の7.2.2の規定によるものがあること。 | ||||||||||||||||||||||||||||||||||||||||||||||||||||||||||||||||||||||||||||||
| ア | 内面に圧力を受ける円すい胴の板の最小厚さは、JIS B8265の附属書EのE.2.4のa)の規定により求めた計算厚さとすること。 | ||||||||||||||||||||||||||||||||||||||||||||||||||||||||||||||||||||||||||||||
| イ | 円すい胴と円筒胴の取付部のうち、円すい胴の大径端に係る部分(以下「大径端取付部」という。)に丸みを付ける場合には、当該大径端取付部の最小厚さは、JIS B8265の附属書EのE.2.4のb)の2)の規定により求めた計算厚さとすること。 | ||||||||||||||||||||||||||||||||||||||||||||||||||||||||||||||||||||||||||||||
| ウ | 円すい胴と円筒胴との取付部のうち円すい胴の小径端に係る部分(以下「小径端取付部」という。)に丸みを付ける場合には、当該小径端取付部の最小厚さは、JIS B8265の附属書EのE.2.4のc)の2)の規定により求めた計算厚さとすること。 | ||||||||||||||||||||||||||||||||||||||||||||||||||||||||||||||||||||||||||||||
| エ | 円すい胴の頂角の2分の1の値が60°を超える場合の小径端取付部の最小厚さは、22に定める平板の算式により算定するものとすること。 | ||||||||||||||||||||||||||||||||||||||||||||||||||||||||||||||||||||||||||||||
| (2) | 第2項の規定に適合する取付方法として、例えば、次の方法があること。 | ||||||||||||||||||||||||||||||||||||||||||||||||||||||||||||||||||||||||||||||
| ア | 大径端取付部に丸みをつけない場合には、円すい胴に係る円すいの頂角の2分の1の値は、30°以下とすること。この場合において、当該大径端取付部への強め材の取付けは、JIS B8265の附属書EのE.2.4のb)の1.1)及び1.2)の規定によること。 | ||||||||||||||||||||||||||||||||||||||||||||||||||||||||||||||||||||||||||||||
| イ | アにより強め材を取り付ける場合は、次のそれぞれに定めるところによること。 | ||||||||||||||||||||||||||||||||||||||||||||||||||||||||||||||||||||||||||||||
| (ア) | 強め材の最小断面積については、JIS B8265の附属書EのE.2.4のb)の1.3)の規定によること。 | ||||||||||||||||||||||||||||||||||||||||||||||||||||||||||||||||||||||||||||||
| (イ) | 強め材の有効範囲は、JIS B8265の附属書EのE.2.4のb)の1.5)の規定によること。 | ||||||||||||||||||||||||||||||||||||||||||||||||||||||||||||||||||||||||||||||
| ウ | イの(ア)の強め材の最小断面積の算定を行う場合において、円すい胴及び円筒胴の厚さが、それぞれ(1)のア及び9の(1)より大きいときは、JIS B8265の附属書EのE.2.4のb)の1.4)の規定によることができること。 | ||||||||||||||||||||||||||||||||||||||||||||||||||||||||||||||||||||||||||||||
| エ | 小径端取付部に丸みを付けない場合には、円すい胴に係る円すいの頂角の2分の1の値は、30°以下とすること。この場合において、当該小径端取付部への強め材の取付けは、JIS B8265の附属書EのE.2.4のc)の1.1)及び1.2)の規定によること。 | ||||||||||||||||||||||||||||||||||||||||||||||||||||||||||||||||||||||||||||||
| オ | エにより強め材を取り付ける場合は、次のそれぞれに定めるところによること。 | ||||||||||||||||||||||||||||||||||||||||||||||||||||||||||||||||||||||||||||||
| (ア) | 強め材の最小断面積については、JIS B8265の附属書EのE.2.4のc)の1.3)の規定によること。 | ||||||||||||||||||||||||||||||||||||||||||||||||||||||||||||||||||||||||||||||
| (イ) | 強め材の有効範囲は、JIS B8265の附属書EのE.2.4のc)の1.5)の規定によること。 | ||||||||||||||||||||||||||||||||||||||||||||||||||||||||||||||||||||||||||||||
| カ | オの(ア)の強め材の最小断面積の算定を行う場合において、円すい胴及び円筒胴の厚さが、それぞれ(1)のア及び9の(1)より大きいときは、JIS B8265の付属書EのE.2.4のb)の1.4)の規定によることができること。 | ||||||||||||||||||||||||||||||||||||||||||||||||||||||||||||||||||||||||||||||
| キ | (2)のアからウまでの規定は、大径端取付部の板の厚さが円すい部の板の最小厚さ以上の場合について準用するものであること。 | ||||||||||||||||||||||||||||||||||||||||||||||||||||||||||||||||||||||||||||||
| ク | (2)のエからカまでの規定は、小径端取付部の板の厚さが円すい部の板の最小厚さ以上の場合について準用するものであること。 | ||||||||||||||||||||||||||||||||||||||||||||||||||||||||||||||||||||||||||||||
| (3) | 本条の最小厚さを算定することができない特殊な形状のものについて、検定水圧試験によって、胴の板の厚さが本条の最小厚さ以上であるかどうか確認する方法として、例えば、別添2の方法があること。 |
||||||||||||||||||||||||||||||||||||||||||||||||||||||||||||||||||||||||||||||
| 12 | 第15条関係 | ||||||||||||||||||||||||||||||||||||||||||||||||||||||||||||||||||||||||||||||
| (1) | 本条の規定に適合する外面に圧力を受ける円すい胴の最小厚さの算定方法として、例えば、JIS B8265の5.2.3 のc)の規定による方法があること。また、この場合の胴の真円度として、例えば、JIS B8265の7.2.3の規定によるものがあること。 | ||||||||||||||||||||||||||||||||||||||||||||||||||||||||||||||||||||||||||||||
| (2) | 外面に圧力を受ける円すい胴の補強を行う方法として、例えば、JIS B8265の5.2.5による方法があること。 なお、10の(1)のウの規定は、外面に圧力を受ける円すい胴の強め輪の取付方法について準用すること。この場合において、Doは強め輪取付部の円すい胴の外径(単位 mm)、Lsは円すい胴の支持線間の軸方向等価長さ(単位 mm)とすること。 |
||||||||||||||||||||||||||||||||||||||||||||||||||||||||||||||||||||||||||||||
| (3) | 本条の最小厚さを算定により得ることができない特殊な形状のものについて、検定水圧試験によって、胴の板の厚さが本条の最小厚さ以上であるかどうか確認する方法として、例えば、別添2の方法があること。 |
||||||||||||||||||||||||||||||||||||||||||||||||||||||||||||||||||||||||||||||
| 13 | 第16条関係 | ||||||||||||||||||||||||||||||||||||||||||||||||||||||||||||||||||||||||||||||
| (1) | 第1項関係 | ||||||||||||||||||||||||||||||||||||||||||||||||||||||||||||||||||||||||||||||
| ア | 内面に圧力を受ける管の最小厚さの算定方法として、例えば、JIS B8265の附属書EのE.2.2のa)の外径基準の算式による方法があること。 | ||||||||||||||||||||||||||||||||||||||||||||||||||||||||||||||||||||||||||||||
| イ | 内面に圧力を受けるだ円管の最小厚さを算定する場合には、その長径を管の外径として、アを適用すること。 | ||||||||||||||||||||||||||||||||||||||||||||||||||||||||||||||||||||||||||||||
| (2) | 第2項関係 | ||||||||||||||||||||||||||||||||||||||||||||||||||||||||||||||||||||||||||||||
| ア | 外面に圧力を受ける管の最小厚さの算定方法として、例えば、JIS B8265の附属書EのE.4.2の規定による方法があること。 | ||||||||||||||||||||||||||||||||||||||||||||||||||||||||||||||||||||||||||||||
| イ | アの規定にかかわらず、次の図により外面に圧力を受ける管の最高使用圧力が得られる場合の管の最小厚さは、当該図により得られる計算厚さとすることができること。![]() |
||||||||||||||||||||||||||||||||||||||||||||||||||||||||||||||||||||||||||||||
| (3) | 第3項関係 曲げ加工管の中心線における曲げ半径として、例えば、当該曲げ加工管の外径の1.5倍以上のものがあること。 |
||||||||||||||||||||||||||||||||||||||||||||||||||||||||||||||||||||||||||||||
| (4) | その他 | ||||||||||||||||||||||||||||||||||||||||||||||||||||||||||||||||||||||||||||||
| ア | 曲げ半径が管の外径の4倍未満である曲げ加工管の最小厚さの算定方法として、例えば、JIS B8265の附属書EのE.5(a)による方法があること。ただし、呼び径6B以下の管に限ること。 | ||||||||||||||||||||||||||||||||||||||||||||||||||||||||||||||||||||||||||||||
| イ | 次に適合するように曲げ加工を行ったU字管は、(3)の適用がないものとして取り扱うこと。 | ||||||||||||||||||||||||||||||||||||||||||||||||||||||||||||||||||||||||||||||
| (ア) | 管の厚さの最も薄い部分が、(1)のア又は(2)のアの規定に適合していること。 | ||||||||||||||||||||||||||||||||||||||||||||||||||||||||||||||||||||||||||||||
| (イ) | 肉厚減少率((元の厚さ−加工後の厚さ)/元の厚さ×100)が管の厚さの最も薄い部分において15%以下であること。 上記の確認は、実測により行うものとするが、同一条件によって多数の管を加工する場合には、任意の管について実測を行い、他の管に対する測定を省略して差し支えないこと。 |
||||||||||||||||||||||||||||||||||||||||||||||||||||||||||||||||||||||||||||||
| 14 | 第17条関係 「胴板の最小厚さ」については、Iの第2の8によること。 |
||||||||||||||||||||||||||||||||||||||||||||||||||||||||||||||||||||||||||||||
| 15 | 第18条関係 | ||||||||||||||||||||||||||||||||||||||||||||||||||||||||||||||||||||||||||||||
| (1) | 本条の規定に適合する全半球形鏡板、皿形鏡板、半だ円体形鏡板及び円すい形鏡板の形状として、例えば、JIS B8265の5.2.2のa)の規定によるものがあること。 なお、半だ円体形鏡板はD/2h≦3であること。 |
||||||||||||||||||||||||||||||||||||||||||||||||||||||||||||||||||||||||||||||
| (2) | くり抜きによって製作する鏡板で胴と一体となったものには、本条の適用はないものとして取り扱うこと。 |
||||||||||||||||||||||||||||||||||||||||||||||||||||||||||||||||||||||||||||||
| 16 | 第19条関係 本条の規定に適合する中低面に圧力を受け、球面の一部をなすステーなし鏡板の最小厚さの算定方法として、例えば、次の方法があること。 なお、この場合の皿形鏡板及び半だ円体形鏡板の公差として、例えば、JIS B8265の7.3によるものがあること。 |
||||||||||||||||||||||||||||||||||||||||||||||||||||||||||||||||||||||||||||||
| (1) | 補強を要する穴がない場合 鏡板の最小厚さは、JIS B8265の5.2.2.のc)、d)及びe)の規定により求めた計算厚さとすること。 |
||||||||||||||||||||||||||||||||||||||||||||||||||||||||||||||||||||||||||||||
| (2) | 補強を要する穴がある場合 | ||||||||||||||||||||||||||||||||||||||||||||||||||||||||||||||||||||||||||||||
| ア | (1)の規定は、第33条の規定により穴の補強がなされた鏡板の最小厚さについて準用すること。 | ||||||||||||||||||||||||||||||||||||||||||||||||||||||||||||||||||||||||||||||
| イ | マンホール又は最大寸法150mmを超える穴があり、折込みフランジによってその補強を行う全半球鏡板及び皿形鏡板の計算厚さは、(1)の規定により算定した厚さにその15%(その値が3mm未満のときは、3mm)以上を加えた厚さとすること。この場合において、鏡板の内面の半径が胴の内径の80%より小さいときは、鏡板の内面の半径を胴の内径の80%として計算するものとすること。 | ||||||||||||||||||||||||||||||||||||||||||||||||||||||||||||||||||||||||||||||
| ウ | イの規定は、折込みフランジによって穴の補強を行う半だ円体形鏡板の計算厚さについて準用すること。この場合において、鏡板の中央部の内半径は、胴の内径の80%とし、かつ、算式中の係数Mは1.77とすること。 |
||||||||||||||||||||||||||||||||||||||||||||||||||||||||||||||||||||||||||||||
| 17 | 第20条関係 | ||||||||||||||||||||||||||||||||||||||||||||||||||||||||||||||||||||||||||||||
| (1) | 補強しない穴の縁とマンホールの周囲において折り込みフランジ部が鏡板の球形部と境をなす線との距離が鏡板の厚さ以上である場合は、本条の規定に適合していること。 | ||||||||||||||||||||||||||||||||||||||||||||||||||||||||||||||||||||||||||||||
| (2) | 補強しない穴は、鏡板のすみの丸みの部分にかからないこと。 この場合の鏡板には、半だ円体形鏡板及び全半球形鏡板は含まれないものであること。なお、低圧の圧力容器に構造上の必要によりやむを得ず取付穴等を設ける場合の強め材の最小断面積については、例えば、30の(1)のア、オ及びキの規定によること。 |
||||||||||||||||||||||||||||||||||||||||||||||||||||||||||||||||||||||||||||||
| 18 | 第21条関係 | ||||||||||||||||||||||||||||||||||||||||||||||||||||||||||||||||||||||||||||||
| (1) | 第1項関係 | ||||||||||||||||||||||||||||||||||||||||||||||||||||||||||||||||||||||||||||||
| ア | 円すい体形鏡板の円すいの部分の板の最小厚さの算定方法については、11の(1)のア又はエによること。 | ||||||||||||||||||||||||||||||||||||||||||||||||||||||||||||||||||||||||||||||
| イ | 円すい体形鏡板のすみの丸みの部分の計算厚さの算定方法については、11の(1)のイによること。 | ||||||||||||||||||||||||||||||||||||||||||||||||||||||||||||||||||||||||||||||
| ウ | 中低面に圧力を受ける皿形ふた板であって、締付ボルト取付用のフランジをもつものの鏡板の部分の最小厚さの算定方法として、例えば、JIS B8265の附属書LのL.5.2.1のa)の 1)及びL.5.2.1のb)の 1)による方法があること。 | ||||||||||||||||||||||||||||||||||||||||||||||||||||||||||||||||||||||||||||||
| (2) | 第2項関係 | ||||||||||||||||||||||||||||||||||||||||||||||||||||||||||||||||||||||||||||||
| ア | 円すいの頂角の2分の1の値(θ)が30°以下の場合には、11の(2)のアによること。 | ||||||||||||||||||||||||||||||||||||||||||||||||||||||||||||||||||||||||||||||
| イ | アの規定により強め輪を取り付ける場合には、11の(2)のイ及びウによること。 | ||||||||||||||||||||||||||||||||||||||||||||||||||||||||||||||||||||||||||||||
| (3) | その他 本条の最小厚さを算定することができない特殊形状のものについて、検定水圧試験によって、鏡板の厚さが本条の最小厚さ以上であるかどうか確認する方法として、例えば、別添2の方法があること。 |
||||||||||||||||||||||||||||||||||||||||||||||||||||||||||||||||||||||||||||||
| 19 | 第22条関係 本条の規定に適合する中高面に圧力を受け球面の一部をなすステーなし鏡板(鋳鉄製鏡板を除く。)の最小厚さの算定方法として、例えば、JIS B8265の附属書EのE.4.5 a)からE.4.5 c)までの規定による方法があること。 |
||||||||||||||||||||||||||||||||||||||||||||||||||||||||||||||||||||||||||||||
| 20 | 第23条関係 次の図に示すような鋳鉄製鏡板については、R=D である皿形鏡板とみなして、本条により当該鏡板の最小厚さを算定すること。 ![]() |
||||||||||||||||||||||||||||||||||||||||||||||||||||||||||||||||||||||||||||||
| 21 | 第24条関係 本条の規定に適合する円すい体形鏡板の最小厚さの算出方法として、例えば、JIS B8265の附属書EのE.4.5 d)の規定による方法があること。 |
||||||||||||||||||||||||||||||||||||||||||||||||||||||||||||||||||||||||||||||
| 22 | 第25条関係 | ||||||||||||||||||||||||||||||||||||||||||||||||||||||||||||||||||||||||||||||
| (1) | 第1項関係 第1項の規定に適合する平板等の最小厚さの算定方法として、例えば、次の方法があること。 |
||||||||||||||||||||||||||||||||||||||||||||||||||||||||||||||||||||||||||||||
| ア | 平鏡板、平ふた板、平底板等の平板でステーによって支えられないものの最小厚さは、JIS B8265の附属書EのE.3.6の規定により求めた計算厚さとすること。 なお、平板と胴、管等との取付方法については、Tの第2の12の(1)の図(エ)から図(キ)までの方法によっても差し支えないこと。 |
||||||||||||||||||||||||||||||||||||||||||||||||||||||||||||||||||||||||||||||
| イ | ボルト締め平ふた板の最小厚さは、JIS B8265の附属書LのL.3の規定により求めた計算厚さとすること。 | ||||||||||||||||||||||||||||||||||||||||||||||||||||||||||||||||||||||||||||||
| ウ | 次の図に示すような平板においては、イの最小厚さは図のt2 を示すものであること。この場合において、t1
はt2 の値より2mm程度小として差し支えないこと。 なお、締付ボルトが同図に示すように本体肉厚内にかかることは、認めて差し支えないこと。 ![]() |
||||||||||||||||||||||||||||||||||||||||||||||||||||||||||||||||||||||||||||||
| エ | はめ込み形円形平ふた板の最小厚さは、JIS B8265の附属書LのL.4の規定により求めた計算厚さとすること。 | ||||||||||||||||||||||||||||||||||||||||||||||||||||||||||||||||||||||||||||||
| オ | マンホールカバーの最小厚さについては、Tの第2の12の(4)によること。 | ||||||||||||||||||||||||||||||||||||||||||||||||||||||||||||||||||||||||||||||
| カ | 球形胴のマンホールのふた板で球面を有しているものの最小厚さは、平板とみなして計算した所要厚さの50%とすること。 | ||||||||||||||||||||||||||||||||||||||||||||||||||||||||||||||||||||||||||||||
| キ | ジャケット閉鎖部の最小厚さは、ジャケットの計算厚さとすること。ただし、次に掲げるジャケット閉鎖部の計算厚さは、当該それぞれに定める値とすること。 | ||||||||||||||||||||||||||||||||||||||||||||||||||||||||||||||||||||||||||||||
| (ア) | 別図の図(ウ)に示す平面形ジャケット閉鎖部 次の2つの算式により算定した値のうちいずれか大きい値 tc=2tj '
|
||||||||||||||||||||||||||||||||||||||||||||||||||||||||||||||||||||||||||||||
| (イ) | 別図の図(エ)の1及び図(エ)の2に示す平面形ジャケット閉鎖部 次の算式により算定した値
|
||||||||||||||||||||||||||||||||||||||||||||||||||||||||||||||||||||||||||||||
| (2) | 第2項関係 | ||||||||||||||||||||||||||||||||||||||||||||||||||||||||||||||||||||||||||||||
| ア | ジャケット閉鎖部の形状として、例えば、別図に示すものがあること。 | ||||||||||||||||||||||||||||||||||||||||||||||||||||||||||||||||||||||||||||||
| イ | 圧力容器に半割コイルジャケット(半円管を本体に巻き、本体に溶接して、この中に蒸気を通し、間接加熱するためのジャケットとするものをいう。)を設ける場合の取扱いとして、例えば、JIS B8279の附属書2によるほか、次の方法があること。 | ||||||||||||||||||||||||||||||||||||||||||||||||||||||||||||||||||||||||||||||
| (ア) | 半割コイルジャケット内の使用温度は350℃を超えないこと。 | ||||||||||||||||||||||||||||||||||||||||||||||||||||||||||||||||||||||||||||||
| (イ) | 半割コイルジャケットの半円部の最小厚さは、JIS B8265の附属書EのE.2.2のa)の内径基準の算定により求めた計算厚さ以上であること。 | ||||||||||||||||||||||||||||||||||||||||||||||||||||||||||||||||||||||||||||||
| (ウ) | 本体胴又は鏡板の最小厚さは、次の外圧に対する算式により算定した計算厚さ以上であること。![]()
![]() |
||||||||||||||||||||||||||||||||||||||||||||||||||||||||||||||||||||||||||||||
| (エ) | ジャケットの本体への取付けは、(ウ)の図の取付方法によること。 |
||||||||||||||||||||||||||||||||||||||||||||||||||||||||||||||||||||||||||||||
| ウ | ジャケット付き圧力容器のジャケットの一部を切り欠き、次の図に示すように当該切り欠き部を平板によって工作する場合の取扱いとして、例えば、次の方法があること。 | ||||||||||||||||||||||||||||||||||||||||||||||||||||||||||||||||||||||||||||||
| (ア) | ジャケット胴の穴の部分を円すい状に内側に曲げ、本体の胴に完全溶込みの突合せ片側溶接で取り付けることが望ましいこと。 | ||||||||||||||||||||||||||||||||||||||||||||||||||||||||||||||||||||||||||||||
| (イ) | 次の図(ア)の方法による場合は、ジャケット胴と円すい形側板とは両側溶接とし、この側板と本体胴との取付けは完全溶込みの突合せ片側溶接とすること。この場合において、側板の厚さは、ジャケット胴と同じ厚さ以上にすること。 | ||||||||||||||||||||||||||||||||||||||||||||||||||||||||||||||||||||||||||||||
| (ウ) | 次の図(イ)の方法による場合で、側板となる円筒の直径が大きく、(イ)の工作が可能なときは、側板を円筒形として差し支えないこと。 | ||||||||||||||||||||||||||||||||||||||||||||||||||||||||||||||||||||||||||||||
| (エ) | 側板を方形とすることは認められないこと。![]() |
||||||||||||||||||||||||||||||||||||||||||||||||||||||||||||||||||||||||||||||
| (3) | その他 本条の最小厚さを算定することができない特殊な形状のものについて、検定水圧試験によって板の厚さが本条の最小厚さ以上であるかどうか確認する方法として、例えば、別添2の方法があること。 |
||||||||||||||||||||||||||||||||||||||||||||||||||||||||||||||||||||||||||||||
| 23 | 第26条関係 | ||||||||||||||||||||||||||||||||||||||||||||||||||||||||||||||||||||||||||||||
| (1) | 第1項の規定に適合する平管板の最小厚さの算定方法として、例えば、次の方法があること。 | ||||||||||||||||||||||||||||||||||||||||||||||||||||||||||||||||||||||||||||||
| ア | 熱交換器その他これに類するものの平管板であって、管ステーによって支えられないものの最小厚さは、JIS B8265の附属書KのK.4.2の規定により求めた計算厚さとすること。 | ||||||||||||||||||||||||||||||||||||||||||||||||||||||||||||||||||||||||||||||
| イ | 次の図(ア)、(イ)及び(ウ)に示すように管ステーによって支えられない平ふた板の機能を有するボルト締めによる平管板の最小厚さは、アにより算定すること。ただし、JIS B8265の附属書KのK.4.2におけるt1を求める算定式において、当該算式中のPの値は、ボルト締めによる相当圧力を考慮して、次の算式により算定すること。なお、P =PBSのときのσa は、材料の常温における許容引張応力(単位 N/mm2)とすること。 | ||||||||||||||||||||||||||||||||||||||||||||||||||||||||||||||||||||||||||||||
| (ア) | ボルト締めによる相当圧力は、次の算式によること。
|
||||||||||||||||||||||||||||||||||||||||||||||||||||||||||||||||||||||||||||||
| (イ) | 管板の最高使用圧力は、ガスケットが締め付けられる側に応じて、次によること。 ただし、最高使用圧力が負圧の場合は、絶対値とすること。 [1] 次の図(ア)に示すようにガスケットが、胴フランジ部と管板により締め付けられているとき。 胴側圧力 P =Ps+PBt又はPBs 管側圧力 P =Pt
胴側圧力 P =Ps 管側圧力 P =Pt+PBt又はPBs 又は [3] 次の図(ウ)に示すように遊動頭引抜形熱交換器でボルト締めされる管板で、 P は次のiからivのうち絶対値が最大のもの i P =Pt+PBt ii P =Ps−PBt iii P =Pt iv P =Ps
|
||||||||||||||||||||||||||||||||||||||||||||||||||||||||||||||||||||||||||||||
| (ウ) | フランジ部の計算厚さ(ガスケット溝を設ける場合は、溝の深さを減じた厚さとする。)は、JIS B8265の附属書LのL.3.2のc)の規定により算定すること。 | ||||||||||||||||||||||||||||||||||||||||||||||||||||||||||||||||||||||||||||||
| ウ | 自動制御装置を設け、起動から運転停止に至るまで、常に胴側の圧力と管側の圧力との差圧が一定の値以下となるように設計されている熱交換器にあっては、当該差圧の最大値を最高使用圧力として管板の最小厚さを算定して差し支えないこと。 なお、このように設計された熱交換器の水圧試験においては、胴側と管側との両方に水圧力を加え、管板及び管に加わる水圧力の差が上記の差圧の最大値の1.5倍を超えないように留意すること。 |
||||||||||||||||||||||||||||||||||||||||||||||||||||||||||||||||||||||||||||||
| (2) | 第2項の規定に適合する取付方法として、例えば、次の方法があること。 | ||||||||||||||||||||||||||||||||||||||||||||||||||||||||||||||||||||||||||||||
| ア | 平管板に対する管の取付けは、31に定めるところによること。 | ||||||||||||||||||||||||||||||||||||||||||||||||||||||||||||||||||||||||||||||
| イ | ころ広げによって管を取り付ける場合の平管板の管穴の中心間の距離は、管の外径の1.25倍以上とし、拡管部の厚さの最小値は、JIS B8265の附属書KのK.4.1の規定により求めた厚さとすること。 | ||||||||||||||||||||||||||||||||||||||||||||||||||||||||||||||||||||||||||||||
| ウ | ア及びイの規定は、管ステーを取り付ける管板についても適用されるものであること。 | ||||||||||||||||||||||||||||||||||||||||||||||||||||||||||||||||||||||||||||||
| (3) | 本条の最小厚さを算定することができない特殊な形状のものについて、検定水圧試験によって平管板の厚さが本条の最小厚さ以上であるかどうか確認する方法として、例えば、別添2の方法があること。 |
||||||||||||||||||||||||||||||||||||||||||||||||||||||||||||||||||||||||||||||
| 24 | 第27条関係 | ||||||||||||||||||||||||||||||||||||||||||||||||||||||||||||||||||||||||||||||
| (1) | 第1項の規定は、JIS B8265の附属書NのN.2の規定により求めた胴板及び管に生じる応力の値が、それぞれの材料の使用温度における許容引張応力に溶接継手効率を乗じた値又は許容圧縮応力を超える場合に胴に伸縮継手を設けることを規定したものであること。 | ||||||||||||||||||||||||||||||||||||||||||||||||||||||||||||||||||||||||||||||
| (2) | 第2項の規定は、両管板固定式熱交換器においては低サイクル疲れを考慮する必要があることから、予定される応力の繰返し回数に応じた応力評価を行わなければならないことを規定したものであること。 | ||||||||||||||||||||||||||||||||||||||||||||||||||||||||||||||||||||||||||||||
| (3) | 第2項の規定に適合するものとして、例えば、次の値が第1項の伸縮継手に生ずる応力の繰返し回数に応じて次の図(ア)又は図(イ)に示す繰返し応力の値を超えないものがあること。ただし、第1項の伸縮継手に生ずる応力の繰返し回数が1万回以下の場合であって、当該応力が材料の使用温度における降伏点を超えないときは、この限りでないこと。 また、「応力の繰返し回数」とは、圧力容器の起動、停止等によって生ずる応力変化の回数をいうものであり、例えば、毎日、起動及び停止をそれぞれ1回行い、その他これに相当する大きさの応力変化がない場合には、「応力の繰返し回数」は10年間でおおよそ3,500回となること。
|
||||||||||||||||||||||||||||||||||||||||||||||||||||||||||||||||||||||||||||||
| 25 | 第28条関係 | ||||||||||||||||||||||||||||||||||||||||||||||||||||||||||||||||||||||||||||||
| (1) | 第1項及び第2項の「最高使用圧力が加わったときに当該断面に生じる応力」とは、JIS B8265の附属書MのM.5の規定に定めるステーが支える荷重をステーの断面積で除した値をいうこと。 例えば、次の図に示す容器のステー及びボルトの強さを算定する場合において、ステー及びその取付ボルトにあっては同図中のハッチングを施した面積Aを受圧面積とし、鏡板の締付ボルトにあってはハッチングを施した面積以外の面積Bを受圧面積とすること。 ![]() |
||||||||||||||||||||||||||||||||||||||||||||||||||||||||||||||||||||||||||||||
| (2) | 第3項の規定に適合する取付方法として、例えば、次の方法があること。 | ||||||||||||||||||||||||||||||||||||||||||||||||||||||||||||||||||||||||||||||
| ア | ステーの取付けは、JIS B8265の7.4の規定によること。 なお、この場合において、ステーボルトを板面に対し斜めに取り付けるときは、ねじ山を3以上板にねじ込み、かつ、そのうちの1以上のねじ山は、全周をねじ込むこと。 |
||||||||||||||||||||||||||||||||||||||||||||||||||||||||||||||||||||||||||||||
| イ | 棒ステーを板に取り付ける場合には、アによるほか形鋼その他の金物を板に取り付け、これにピンで取り付けることができること。 | ||||||||||||||||||||||||||||||||||||||||||||||||||||||||||||||||||||||||||||||
| ウ | 管ステーは、次のいずれかの方法によって取り付けられたものであること。 | ||||||||||||||||||||||||||||||||||||||||||||||||||||||||||||||||||||||||||||||
| (ア) | ねじ込んだ後、ころ広げを行うこと。 | ||||||||||||||||||||||||||||||||||||||||||||||||||||||||||||||||||||||||||||||
| (イ) | ねじ込んだ後、ころ広げを行い、かつ、縁曲げすること。 | ||||||||||||||||||||||||||||||||||||||||||||||||||||||||||||||||||||||||||||||
| (ウ) | 管穴壁に溝を設けて、ころ広げを行うこと。(管の厚さが1.6mm以上で、かつ、管板の厚さが16mm以上の場合に限る。) | ||||||||||||||||||||||||||||||||||||||||||||||||||||||||||||||||||||||||||||||
| (エ) | 管板に溶接する場合、ステーの軸に平行にせん断力の作用する溶接面の面積は、管ステーの最小断面積の1.25倍以上とするものとすること。 |
||||||||||||||||||||||||||||||||||||||||||||||||||||||||||||||||||||||||||||||
| 26 | 第29条関係 第2項に適合する棒ステーのピッチとして、例えば、216mm以下で、かつ、棒ステーの場合は、直径の15倍以下のものがあること。この場合において、板の厚さが19mmを超える場合には、ステーのピッチは508mmを超えないこと。 |
||||||||||||||||||||||||||||||||||||||||||||||||||||||||||||||||||||||||||||||
| 27 | 第30条関係 本条の規定に適合するステーによって支えられる平板等の最小厚さの算定方法として、例えば、次の方法があること。 |
||||||||||||||||||||||||||||||||||||||||||||||||||||||||||||||||||||||||||||||
| (1) | ステーによって支えられる平板の最小厚さは、JIS B8265の附属書MのM.4の規定により求めた計算厚さとすること。 | ||||||||||||||||||||||||||||||||||||||||||||||||||||||||||||||||||||||||||||||
| (2) | シリンダーピストンの最小厚さは、次の算式により求めた計算厚さとすること。![]()
|
||||||||||||||||||||||||||||||||||||||||||||||||||||||||||||||||||||||||||||||
| (3) | ジャケット付き圧力容器の胴でステーボルトで支えられるもの及び次の図に示すようなステーボルトによって支えられる鏡板の最高使用圧力は、次の算式によって算定して差し支えないこと。この場合において、P2
を算定する場合における(1)の算式中の「C 」の値は、1.3とすること。 P =P1+P2
![]() |
||||||||||||||||||||||||||||||||||||||||||||||||||||||||||||||||||||||||||||||
| (4) | 角形容器の平板部で、リブによって補強されたものの最高使用圧力は、(1)の規定中の当該リブの「C 」を2.6として算定した平板部(面積が最も大きい部分をとるものとする。)の最高使用圧力の値と次の算式によって得られる値のうちいずれか小さい値をとって差し支えないこと。 P =P1+P2
![]()
|
||||||||||||||||||||||||||||||||||||||||||||||||||||||||||||||||||||||||||||||
| (5) | 遊動頭形の管板の管群部の計算厚さは、固定式管板における場合と同様に(1)により算定すること。この場合において、最高使用圧力(P
)は、管板の両側の圧力のうちいずれか大きい圧力とすること。 なお、管板の外周が支持されていない場合には、外側の管ステーと管板の縁との距離は管群部の算定に用いる管ステーのピッチの1/2以下とすること。 |
||||||||||||||||||||||||||||||||||||||||||||||||||||||||||||||||||||||||||||||
| (6) | 本条の最小厚さを算定することができない特殊な形状のものについて、検定水圧試験によって板の厚さが本条の最小厚さ以上であるかどうか確認する場合には、別添2の方法によること。 なお、ジャケット付き圧力容器のジャケットと胴との溶接取付部は、胴の強度を算定するに当たって支点とみなすことはできず、したがって、次の図(ア)又は図(イ)に示すようにジャケットを規則的に胴に溶接した場合であっても、(1)は適用できないため、検定水圧試験方法の規定に基づき、最高使用圧力を算定するものとすること。 ![]() |
||||||||||||||||||||||||||||||||||||||||||||||||||||||||||||||||||||||||||||||
| 28 | 第31条関係 | ||||||||||||||||||||||||||||||||||||||||||||||||||||||||||||||||||||||||||||||
| (1) | 本条の規定に適合するマンホール、掃除穴及び検査穴の穴の数及び寸法として、例えば、JIS B8265の5.1.5のb)の規定によるものがあること。 | ||||||||||||||||||||||||||||||||||||||||||||||||||||||||||||||||||||||||||||||
| (2) | 「これらに代わる穴のあるもの」には、例えば、次のものがあること。 | ||||||||||||||||||||||||||||||||||||||||||||||||||||||||||||||||||||||||||||||
| ア | 胴の内径が500mm以下の圧力容器で、取り外すことができる外径40mm以上の管を2個以上設けたもの | ||||||||||||||||||||||||||||||||||||||||||||||||||||||||||||||||||||||||||||||
| イ | 鏡板、ふた板等を取り外すことができる圧力容器で、鏡板、ふた板等の寸法が(1)に規定する穴の寸法以上であるもの | ||||||||||||||||||||||||||||||||||||||||||||||||||||||||||||||||||||||||||||||
| ウ | 腐食のおそれがなく、かつ、気密な構造のものとする必要がある圧力容器で、取り外すことができる外径40mm以上の管を2個以上設けたもの | ||||||||||||||||||||||||||||||||||||||||||||||||||||||||||||||||||||||||||||||
| (3) | (2)のア及びウに規定されている管が管台を設けて取り付けられる場合には、管台の高さを穴の径の1.5倍以下とすること。 |
||||||||||||||||||||||||||||||||||||||||||||||||||||||||||||||||||||||||||||||
| 29 | 第32条関係 | ||||||||||||||||||||||||||||||||||||||||||||||||||||||||||||||||||||||||||||||
| (1) | JIS B8286に適合するガラス板と同等以上の機械的性質を有するものには、有機ガラスが含まれるものであること。 なお、有機ガラスを使用する場合におけるJIS B8286の5の算式中のσb の値は、当該有機ガラスの使用温度における許容曲げ応力とすること。 |
||||||||||||||||||||||||||||||||||||||||||||||||||||||||||||||||||||||||||||||
| (2) | ガラス製ののぞき窓の形状がだ円形又は長円形であっても、ガラス板の圧力を受ける部分の面積をAとし、JIS B8286の5の算式を適用して差し支えないこと。 | ||||||||||||||||||||||||||||||||||||||||||||||||||||||||||||||||||||||||||||||
| 30 | 第33条関係 | ||||||||||||||||||||||||||||||||||||||||||||||||||||||||||||||||||||||||||||||
| (1) | 本条の規定に適合する穴の補強方法として、例えば、次の方法があること。 | ||||||||||||||||||||||||||||||||||||||||||||||||||||||||||||||||||||||||||||||
| ア | 胴及び鏡板の穴の補強に必要な面積は、JIS B8265の附属書FのF.6の規定によること。 | ||||||||||||||||||||||||||||||||||||||||||||||||||||||||||||||||||||||||||||||
| イ | 単独の穴の大きさが平板の直径又は最小スパンの2分の1以下の場合は、JIS B8265の附属書FのF.10.1の規定によること。 また、当該穴の補強の代替は、JIS B8265の附属書FのF.10.2の規定によること。 |
||||||||||||||||||||||||||||||||||||||||||||||||||||||||||||||||||||||||||||||
| ウ | 単独の穴の大きさが平板の直径又は最小スパンの2分の1を超える場合の補強の代替は、JIS B8265の附属書FのF.10.3の規定によること。 | ||||||||||||||||||||||||||||||||||||||||||||||||||||||||||||||||||||||||||||||
| エ | 二重構造の圧力容器の胴、鏡板に設ける穴に対する強め材の最小断面積は、内面に圧力を受ける胴及び鏡板についてはアの規定により、外面に圧力を受ける胴及び鏡板についてはアのうち外面に圧力を受ける条件の規定によりそれぞれ算定するものとすること。 | ||||||||||||||||||||||||||||||||||||||||||||||||||||||||||||||||||||||||||||||
| オ | 強め材として算入できる補強の有効範囲は、JIS B8265の附属書FのF.7の規定によること。 ただし、圧力容器と一体に鋳造された鋳鉄製の胴、鏡板又は管台の強め材に算入できる部分は、板の面から穴の軸に平行な方向に測った板の厚さの2倍以内の範囲に限り、強め材に算入できるものとすること。 |
||||||||||||||||||||||||||||||||||||||||||||||||||||||||||||||||||||||||||||||
| カ | Iの第2の29の(1)のカ及びキの図に示すようなマンホールを圧力容器に設ける場合の取扱いについては、Iの第2の29の(1)のカ及びキによること。 | ||||||||||||||||||||||||||||||||||||||||||||||||||||||||||||||||||||||||||||||
| キ | 胴又は鏡板の厚さ及びノズルネックの厚さのうち強め材として算入できる部分の面積については、JIS B8265の附属書FのF.8の規定によること。 | ||||||||||||||||||||||||||||||||||||||||||||||||||||||||||||||||||||||||||||||
| ク | 大径の穴の補強については、JIS B8265の附属書FのF.9の規定によること。 | ||||||||||||||||||||||||||||||||||||||||||||||||||||||||||||||||||||||||||||||
| ケ | 次の図(ア)又は図(イ)に示す容器については、それぞれの図のD2を鏡板に設ける穴の直径としてクを適用すること。この場合、強め材を取り付ける箇所は丸みの部分を避けなければならないこと。ただし、強め材が一方の側に偏しても有効範囲内に所要断面積が取り付けられていれば差し支えないこと。 ただし、図(イ)の場合には、ドーム状の部分が円筒状にならないことから、その形状に応じた強度の検討を行う必要があること。 なお、図(ア)の場合には、容器の構造上ドーム状の部分を鏡板の内部に突出させて溶接することが可能であれば、当該部分を図(ウ)のように取り付けさせること。 ![]() |
||||||||||||||||||||||||||||||||||||||||||||||||||||||||||||||||||||||||||||||
| コ | 補強を要する穴が2つ以上近接して設けられ、各々の穴に対する補強の有効範囲が重なり合う場合には、JIS B8265の附属書FのF.11の規定のほか、次によること。 胴に管穴又はこれに類する穴の一群があって、これを次の図に示すように溶接で取り付ける場合には、補強を必要とする最小断面積及び相隣り合う2つの穴の間の胴の最小断面積(胴板内に溶着された管壁の部分を含む。)は、それぞれ次の算式により算定すること。
![]() |
||||||||||||||||||||||||||||||||||||||||||||||||||||||||||||||||||||||||||||||
| サ | コの「 なお、補強を考える場合の穴の径は、同図のd をとるものとすること。 ![]() |
||||||||||||||||||||||||||||||||||||||||||||||||||||||||||||||||||||||||||||||
| シ | 鏡板に設けられた穴を補強する折込みフランジの最小高さは、次の表の左欄に掲げる鏡板の計算厚さに応じ、それぞれ同表の右欄に掲げる値とすること。ただし、折込みフランジが管等により支えられている場合又は内径(開口部の形状がだ円形又は長円形の場合にあっては内面の長径)が150mm以下の開口部に設けられている場合には、この限りでないこと。この場合、折込みフランジの最小高さは、穴の長径に沿い鏡板の外面にあてた平板面から測ること。
|
||||||||||||||||||||||||||||||||||||||||||||||||||||||||||||||||||||||||||||||
| (2) | 本条ただし書に該当する補強を要しない穴として、例えば、JIS B8265の附属書FのF.3の規定によるもののほか、径(ねじ穴にあっては、ねじ底の径)が61mm以下の穴であって、胴の内径の4分の1以下のもの又は鏡板のフランジ部の内径の4分の1以下のものがあること。 | ||||||||||||||||||||||||||||||||||||||||||||||||||||||||||||||||||||||||||||||
| (3) | 本条の規定により板の厚さを算定することができない特殊な形状のものについて、検定水圧試験によって板の厚さが本条の最小厚さ以上であるかどうか確認する方法として、例えば、別添2の方法があること。 |
||||||||||||||||||||||||||||||||||||||||||||||||||||||||||||||||||||||||||||||
| 31 | 第35条関係 第1項の規定に適合する管、管台等の取付部が安全上必要な強度を有するような方法として、例えば、次の方法があること。 |
||||||||||||||||||||||||||||||||||||||||||||||||||||||||||||||||||||||||||||||
| (1) | 胴、鏡板等に管(管ステーを除く。)、管台等をねじ込みにより取り付ける場合には、はめ合わされるねじ山の数及び胴、鏡板等の板の厚さを、次の表の左欄に掲げる管の外径に応じ、それぞれ同表の中欄及び右欄に掲げる値以上とすること。 | ||||||||||||||||||||||||||||||||||||||||||||||||||||||||||||||||||||||||||||||
| (2) | 外径が150mm以下の管その他これに類するものを胴、管板等に設けられた穴に取り付ける場合(溶接のみにより取り付ける場合を除く。)は、次のいずれかの方法によること。 | ||||||||||||||||||||||||||||||||||||||||||||||||||||||||||||||||||||||||||||||
| ア | ころ広げ及び縁曲げを行うこと(縁曲げを行った部分の周囲に漏止め溶接を行う場合を含む。)。 | ||||||||||||||||||||||||||||||||||||||||||||||||||||||||||||||||||||||||||||||
| イ | ころ広げを行い、かつ、管端を管穴の直径より3mm以上大きくなるようにラッパ状に広げること。 | ||||||||||||||||||||||||||||||||||||||||||||||||||||||||||||||||||||||||||||||
| ウ | ころ広げを行い、かつ、管端をラッパ状に広げてその周囲を溶接すること。 | ||||||||||||||||||||||||||||||||||||||||||||||||||||||||||||||||||||||||||||||
| エ | ころ広げを行い、かつ、管端の周囲を溶接すること(管が管座端から6mm以上9.5mm以下突き出し、かつ、のど厚が5mm以上8mm以下の場合に限る。)。 | ||||||||||||||||||||||||||||||||||||||||||||||||||||||||||||||||||||||||||||||
| オ | 穴の周囲を管の厚さまで穴ぐりして、ころ広げを行い、かつ、管端の周囲を溶接すること(管の外径が40mm以下で、かつ、管が管座端から9.5mm以下突き出している場合に限る。)。 | ||||||||||||||||||||||||||||||||||||||||||||||||||||||||||||||||||||||||||||||
| カ | 管穴壁に溝を設け、かつ、ころ広げを行うこと。 | ||||||||||||||||||||||||||||||||||||||||||||||||||||||||||||||||||||||||||||||
| (3) | (2)の場合において、圧力容器の最高使用圧力が1.6MPa以下又は使用温度が235℃以下で、かつ、次の算式により算定した接触面の応力が2.5N/mm2以下であるときには、(2)の規定にかかわらず、ころ広げのみによることができること。
|
||||||||||||||||||||||||||||||||||||||||||||||||||||||||||||||||||||||||||||||
| (4) | 管を管板等に溶接によって取り付ける場合は、JIS B8265の附属書K図K.3の形状例によること。 |
||||||||||||||||||||||||||||||||||||||||||||||||||||||||||||||||||||||||||||||
| 32 | 第36条関係 | ||||||||||||||||||||||||||||||||||||||||||||||||||||||||||||||||||||||||||||||
| (1) | 第1項及び第3項の「これらと同等以上の機械的性質を有するもの」として、例えば、JIS B8265の附属書GからJまでに適合するフランジがあること。 | ||||||||||||||||||||||||||||||||||||||||||||||||||||||||||||||||||||||||||||||
| (2) | 米国のANSI規格及びJPI(日本石油学会)規格に適合するフランジを使用する場合には、強度計算を省略して差し支えないこと。 | ||||||||||||||||||||||||||||||||||||||||||||||||||||||||||||||||||||||||||||||
| (3) | フランジに平板を取り付ける場合で当該平板に係る強度計算を省略しても差し支えない場合の取扱いについては、Iの第2の34の(3)によること。 | ||||||||||||||||||||||||||||||||||||||||||||||||||||||||||||||||||||||||||||||
| (4) | 容器に取り付けるルーズ形フランジ等は、一体物でなく板をリングに巻いて溶接して製作しても差し支えないこと。なお、当該溶接部は、本体の長手継手と同様に取扱うこと。 | ||||||||||||||||||||||||||||||||||||||||||||||||||||||||||||||||||||||||||||||
| (5) | はめ込まれる鋼管等の関係で、フランジの内径を多少変えることは差し支えないこと。 | ||||||||||||||||||||||||||||||||||||||||||||||||||||||||||||||||||||||||||||||
| (6) | マンホールフランジは、胴フランジに該当するものとすること。 |
||||||||||||||||||||||||||||||||||||||||||||||||||||||||||||||||||||||||||||||
| 33 | 第37条関係 | ||||||||||||||||||||||||||||||||||||||||||||||||||||||||||||||||||||||||||||||
| (1) | 本条の規定に適合するフランジの最小厚さの算定方法として、例えば、JIS B8265の附属書LのL.5.2.2の規定による方法があること。 | ||||||||||||||||||||||||||||||||||||||||||||||||||||||||||||||||||||||||||||||
| (2) | 次の図に示すようなフランジについて、(1)の規定により当該フランジの厚さ(T )を算定する場合には、鏡板の実際の厚さ(t
)から鏡板の最小厚さ(tr )を減じた残部の厚さ(t−tr
)を当該フランジの厚さ(T )に含めて差し支えないこと。![]() |
||||||||||||||||||||||||||||||||||||||||||||||||||||||||||||||||||||||||||||||
| (3) | ふた板のフランジ部に、締付ボルト取付用の切り欠きを設けた場合には、端部に突起を設ける等の措置により締付ボルトが容器使用中に外れることがないようにすること。 |
||||||||||||||||||||||||||||||||||||||||||||||||||||||||||||||||||||||||||||||
| 34 | 第38条関係 本条の規定に適合するふた板の締付ボルトとして、例えば、次のものがあること。 |
||||||||||||||||||||||||||||||||||||||||||||||||||||||||||||||||||||||||||||||
| (1) | ねじの呼び径がボルトの許容引張応力を用いて算定したねじの呼び径に3以上を加えたものであるもの | ||||||||||||||||||||||||||||||||||||||||||||||||||||||||||||||||||||||||||||||
| (2) | ねじ山面の著しい摩耗又は腐食が予想される場合にあっては、ねじがJIS B0216-1(メートル台形ねじ−第1部:基準山形及び最大実体山形)、JIS B0216-2(メートル台形ねじ−第2部:全体系)及びJIS B0216-3(メートル台形ねじ−第3部:基準寸法)に適合するもの又は角ねじであるもの | ||||||||||||||||||||||||||||||||||||||||||||||||||||||||||||||||||||||||||||||
| (3) | 締付ボルト中心円の径が450mmを超えるふた板又はこれに相当する面積をもつふた板に用いる場合にあっては、ねじの呼び径が24以上のものであるもの。ただし、ボルト材としてJIS G4107(高温用合金鋼ボルト材)又はこれと同等以上の強度をもつ鋼材を用いた場合は、この限りでないこと。 | ||||||||||||||||||||||||||||||||||||||||||||||||||||||||||||||||||||||||||||||
| (4) | ナットのねじ部の高さが径以上であるもの | ||||||||||||||||||||||||||||||||||||||||||||||||||||||||||||||||||||||||||||||
| (5) | ふた板の端部に切り欠きを設けて取り付ける場合にあっては、座金の厚さが12mm以上であるもの |
||||||||||||||||||||||||||||||||||||||||||||||||||||||||||||||||||||||||||||||
| 35 | 第40条関係 | ||||||||||||||||||||||||||||||||||||||||||||||||||||||||||||||||||||||||||||||
| (1) | 第1項関係 第1項の規定に適合する溶接方法として、例えば、次の方法があること。 |
||||||||||||||||||||||||||||||||||||||||||||||||||||||||||||||||||||||||||||||
| ア | 溶接継手の形式と使用範囲は、JIS B8265の6.1.4の規定によること。 | ||||||||||||||||||||||||||||||||||||||||||||||||||||||||||||||||||||||||||||||
| イ | 管板を胴に溶接により取り付けるときは、アによるほか、次に定めるところによること。 | ||||||||||||||||||||||||||||||||||||||||||||||||||||||||||||||||||||||||||||||
| (ア) | 圧力を受ける管板を13mm以上の厚さの鍛造板又は圧延板に溶接する場合には、アによるほか、溶接前に鍛造板又は圧延板の開先を含むすべての切断端部について磁粉探傷試験又は浸透探傷試験を行い、圧力荷重の80%以上を管ステー等のステーに分担させるときを除き、溶接後に、これらの切断端部のうち溶接されなかった部分について再度磁粉探傷試験又は浸透探傷試験を行うこと。 | ||||||||||||||||||||||||||||||||||||||||||||||||||||||||||||||||||||||||||||||
| (イ) | JIS B8265の図6のa)の 1)から4)までに示すハブ付き管板又はハブ付き平鏡板は、鍛造板によって製作すること。 なお、管板を次の図(ア)から図(エ)までのような方法により胴に取り付けることは、差し支えないこと。ただし、図(ア)中のT はルーズ形フランジとしての必要な厚さ以上とし、図(イ)中のt は管板の最小厚さ以上とすること。 ![]() |
||||||||||||||||||||||||||||||||||||||||||||||||||||||||||||||||||||||||||||||
| ウ | 管台、強め材その他これらに類するものを胴又は鏡板に取り付ける溶接の取扱いについては、アによるほか、次の図(ア)及び図(イ)に示す方法によっても差し支えないこと。ただし、図(ア)の方法は当該容器の最高使用圧力1.6MPa以下の場合又は胴の外径が610mm以下の場合に、図(イ)の方法は胴の外径が610mm以下の場合に限るものとすること。![]() |
||||||||||||||||||||||||||||||||||||||||||||||||||||||||||||||||||||||||||||||
| エ | 管台、強め材その他これらに類するものを胴又は鏡板に取り付ける溶接部の強さは、JIS B8265の附属書FのF.13の規定によること。 | ||||||||||||||||||||||||||||||||||||||||||||||||||||||||||||||||||||||||||||||
| オ | アに規定する突合わせ溶接及びプラグ溶接は、それぞれJIS B8265の6.3.1、6.3.2及び6.4の規定によること。 | ||||||||||||||||||||||||||||||||||||||||||||||||||||||||||||||||||||||||||||||
| カ | サブマージアーク溶接における余盛りの標準高さは、t/10 (最大5mm)( tは板の厚さ)とすること。ただし、開先端上面等において母材の表面より低い部分がない限り、サブマージアーク溶接における余盛りの高さは、1.5〜2mm程度としても差し支えないこと。 | ||||||||||||||||||||||||||||||||||||||||||||||||||||||||||||||||||||||||||||||
| キ | ジャケットを溶接により胴に取り付ける場合は、別図に示すところによること。 | ||||||||||||||||||||||||||||||||||||||||||||||||||||||||||||||||||||||||||||||
| ク | 外圧を受ける胴の強め輪の取付けは、JIS B8265の6.6の規定によるほか、強め輪の取付溶接の脚長は、次のいずれか小さい値以上とすること。 | ||||||||||||||||||||||||||||||||||||||||||||||||||||||||||||||||||||||||||||||
| (ア) | 6mm | ||||||||||||||||||||||||||||||||||||||||||||||||||||||||||||||||||||||||||||||
| (イ) | 胴の板の厚さ | ||||||||||||||||||||||||||||||||||||||||||||||||||||||||||||||||||||||||||||||
| (ウ) | 強め輪の取付部の板の厚さ | ||||||||||||||||||||||||||||||||||||||||||||||||||||||||||||||||||||||||||||||
| ケ | ステーの溶接による取付けは、JIS B8265の7.4のa)、c)、f)、g)及びh)の規定によること。 | ||||||||||||||||||||||||||||||||||||||||||||||||||||||||||||||||||||||||||||||
| (2) | 第2項関係 | ||||||||||||||||||||||||||||||||||||||||||||||||||||||||||||||||||||||||||||||
| ア | 「著しい曲げ応力を生ずる部分」として、例えば、胴と鏡板との角溶接による取付部分があること。 | ||||||||||||||||||||||||||||||||||||||||||||||||||||||||||||||||||||||||||||||
| イ | 圧力の作用しない部分の溶接は、第2項の適用がないこと。ただし、この場合は、溶接後熱処理を行う必要があるが、次に掲げるものについては、この限りでないこと。 | ||||||||||||||||||||||||||||||||||||||||||||||||||||||||||||||||||||||||||||||
| (ア) | 鏡板が2:1の半だ円体形鏡板のすみの丸みの部分に溶接する場合であって、36の(1)のアの(エ)に該当するもの | ||||||||||||||||||||||||||||||||||||||||||||||||||||||||||||||||||||||||||||||
| (イ) | 立型の圧力容器の下部鏡板に支持スカートを取り付ける構造のもので、次の[1]及び[2]に該当しないもので、36の(1)に該当するもの [1] スカート取付部の鏡板が皿形鏡板で、その板厚が16mmを超える容器 [2] 使用温度が−10℃未満の容器 |
||||||||||||||||||||||||||||||||||||||||||||||||||||||||||||||||||||||||||||||
| ウ | U字形の伸縮継手においてU字形の頂部に溶接部を設ける場合には、著しい曲げ応力が生じる部分を避けるため、次の図によること。なお、溶接部は、裏溶接を行って十分な溶込みが得られるものとすること。![]()
|
||||||||||||||||||||||||||||||||||||||||||||||||||||||||||||||||||||||||||||||
| 36 | 第43条関係 | ||||||||||||||||||||||||||||||||||||||||||||||||||||||||||||||||||||||||||||||
| (1) | 第1項の「溶接後熱処理が必要ない溶接部」として、例えば、次に掲げる溶接部があること。 | ||||||||||||||||||||||||||||||||||||||||||||||||||||||||||||||||||||||||||||||
| ア | 炭素鋼の溶接部であって、次のいずれかに該当するもの | ||||||||||||||||||||||||||||||||||||||||||||||||||||||||||||||||||||||||||||||
| (ア) | 板の厚さが32mm以下の溶接部 | ||||||||||||||||||||||||||||||||||||||||||||||||||||||||||||||||||||||||||||||
| (イ) | 板の厚さが32mmを超え38mm以下の溶接部であって、93℃以上の予熱を行ったもの | ||||||||||||||||||||||||||||||||||||||||||||||||||||||||||||||||||||||||||||||
| (ウ) | 径61mm以下の穴に管、管台等を取り付ける溶接部であって、開先の深さが13mm以下で、かつ、のど厚が13mm以下のもの(この種の溶接部が連続しているものを除く。) | ||||||||||||||||||||||||||||||||||||||||||||||||||||||||||||||||||||||||||||||
| (エ) | 外圧を受ける胴の強め輪又は圧力の作用しない部分を取り付ける場合における溶接部であって、次のいずれにも該当しないもの [1] 連続溶接を行った場合におけるのど厚が13mmを超えるもの [2] 圧力を受ける部分の板の厚さが32mmを超える場合に93℃以上の予熱を行わなかったもの |
||||||||||||||||||||||||||||||||||||||||||||||||||||||||||||||||||||||||||||||
| (オ) | スタッド溶接部 | ||||||||||||||||||||||||||||||||||||||||||||||||||||||||||||||||||||||||||||||
| イ | クロムの含有量が1%未満の低合金鋼の溶接部であって、次のいずれかに該当するもの | ||||||||||||||||||||||||||||||||||||||||||||||||||||||||||||||||||||||||||||||
| (ア) | 板の厚さが16mm以下の溶接部 |
||||||||||||||||||||||||||||||||||||||||||||||||||||||||||||||||||||||||||||||
| (イ) | 炭素の含有量が0.25%以下の低合金鋼の溶接部であって、93℃以上の予熱を行ったもののうち次のいずれかに該当するもの [1] 厚さが13mm以下の管の周溶接部 [2] スタッド溶接部 [3] のど厚が13mm以下のすみ肉溶接部 [4] 開先の深さが13mm以下の溶接部 |
||||||||||||||||||||||||||||||||||||||||||||||||||||||||||||||||||||||||||||||
| ウ | クロム、モリブデン及び炭素の含有量がそれぞれ1%以上2%未満、0.5%以上及び0.15%以下の低合金鋼の溶接部であって、121℃以上の予熱を行ったもののうち次のいずれかに該当するもの | ||||||||||||||||||||||||||||||||||||||||||||||||||||||||||||||||||||||||||||||
| (ア) | 外径が114.3mm以下であって、厚さが16mm以下の管の周溶接部 | ||||||||||||||||||||||||||||||||||||||||||||||||||||||||||||||||||||||||||||||
| (イ) | 圧力のかからない部分を取り付ける溶接部であって、のど厚13mm以下のすみ肉溶接部 | ||||||||||||||||||||||||||||||||||||||||||||||||||||||||||||||||||||||||||||||
| (ウ) | スタッド溶接部 | ||||||||||||||||||||||||||||||||||||||||||||||||||||||||||||||||||||||||||||||
| エ | クロム及び炭素の含有量がそれぞれ3%以下及び0.15%以下の低合金鋼(イ及びウに掲げるものを除く。)の溶接部であって、149℃以上の予熱を行ったもののうち次のいずれかに該当するもの | ||||||||||||||||||||||||||||||||||||||||||||||||||||||||||||||||||||||||||||||
| (ア) | 外径114.3mm以下であって、厚さが16mm以下の管の周突合せ溶接部 | ||||||||||||||||||||||||||||||||||||||||||||||||||||||||||||||||||||||||||||||
| (イ) | 圧力のかからない部分を取り付ける溶接部であって、のど厚13mm以下のすみ肉溶接部 | ||||||||||||||||||||||||||||||||||||||||||||||||||||||||||||||||||||||||||||||
| (ウ) | スタッド溶接部 | ||||||||||||||||||||||||||||||||||||||||||||||||||||||||||||||||||||||||||||||
| オ | マルテンサイト系ステンレス鋼で炭素の含有量が0.08%以下のJIS G4304及びJISG 4305のSUS410Sの溶接部であって、オーステナイトクロムニッケルの溶着金属を生じる溶接棒又は空冷非硬化型のニッケルクロム鉄の溶着金属を生じる溶接棒で溶接した溶接部の厚さが10mm以下又は溶接部の厚さが10mmを超え38mm以下で溶接中232℃の予熱温度を保持し、かつ、溶接継手を全線放射線検査を行ったもの | ||||||||||||||||||||||||||||||||||||||||||||||||||||||||||||||||||||||||||||||
| カ | フェライト系ステンレス鋼で炭素の含有量が0.08%以下のJIS G4304並びにJISG 4305のSUS405及びSUS410Lで、オーステナイトクロムニッケルの溶着金属を生じる溶接棒又は空冷非硬化型のニッケルクロム鉄の溶着金属を生じる溶接棒で溶接した溶接部の厚さが10mm以下又は溶接部の厚さが10mmを超え38mm以下で溶接中232℃の予熱温度を保持し、かつ、溶接継手を全線放射線検査を行ったもの | ||||||||||||||||||||||||||||||||||||||||||||||||||||||||||||||||||||||||||||||
| キ | オーステナイト・フェライト系ステンレス鋼の溶接部 | ||||||||||||||||||||||||||||||||||||||||||||||||||||||||||||||||||||||||||||||
| (2) | (1)において、溶接部の板の厚さが異なるときの板の厚さは、溶接部の種類に応じ、それぞれ次に掲げる厚さとすること。 | ||||||||||||||||||||||||||||||||||||||||||||||||||||||||||||||||||||||||||||||
| ア | 突合せ溶接部薄い板の厚さ | ||||||||||||||||||||||||||||||||||||||||||||||||||||||||||||||||||||||||||||||
| イ | 重ね溶接部厚い板の厚さ | ||||||||||||||||||||||||||||||||||||||||||||||||||||||||||||||||||||||||||||||
| ウ | 胴に管板、平鏡板、ふた板及びフランジを取り付ける溶接部胴の厚さ | ||||||||||||||||||||||||||||||||||||||||||||||||||||||||||||||||||||||||||||||
| エ | 管台及び強め材等を取り付ける溶接部管台を取り付ける胴、鏡板及び強め材のうち最も大きい厚さ | ||||||||||||||||||||||||||||||||||||||||||||||||||||||||||||||||||||||||||||||
| オ | 管台とフランジとの溶接部管台の厚さ | ||||||||||||||||||||||||||||||||||||||||||||||||||||||||||||||||||||||||||||||
| カ | 耐圧部に非耐圧部を取り付ける溶接部取付溶接部の厚さ | ||||||||||||||||||||||||||||||||||||||||||||||||||||||||||||||||||||||||||||||
| キ | 中間鏡板の取付溶接部胴の厚さ又はすみ肉溶接ののど厚のいずれか大きい厚さ | ||||||||||||||||||||||||||||||||||||||||||||||||||||||||||||||||||||||||||||||
| (3) | 胴又は鏡板が溶接後熱処理を必要としない場合には、これに設ける管、管台等の取付溶接部は溶接後熱処理を要しないものとして差し支えないこと。 | ||||||||||||||||||||||||||||||||||||||||||||||||||||||||||||||||||||||||||||||
| (4) | (1)にかかわらず溶接部間の距離が板の厚さの2倍(最大100mm)以下の場合については、溶接後熱処理が必要であること。ただし、予熱等溶接工作中における当該溶接部の割れを防止する措置を講じたときには、この限りでないこと。 | ||||||||||||||||||||||||||||||||||||||||||||||||||||||||||||||||||||||||||||||
| (5) | 圧力容器の胴等において溶接線が交差する溶接を行った場合には、(1)にかかわらず、溶接後熱処理を行う必要があること。 | ||||||||||||||||||||||||||||||||||||||||||||||||||||||||||||||||||||||||||||||
| (6) | オーステナイト系ステンレス鋼及び(1)のオからキまでの溶接部の溶接後熱処理は避けるべきであるが、ステンレス鋼と炭素鋼とが溶接される場合で、例えば、次に掲げるときには、溶接後熱処理を行っても差し支えないこと。 | ||||||||||||||||||||||||||||||||||||||||||||||||||||||||||||||||||||||||||||||
| ア | ステンレス鋼の耐食性を重要視しなくてもよい場合 | ||||||||||||||||||||||||||||||||||||||||||||||||||||||||||||||||||||||||||||||
| イ | ステンレス鋼中の炭素含有量が0.03%以下である場合 | ||||||||||||||||||||||||||||||||||||||||||||||||||||||||||||||||||||||||||||||
| ウ | ステンレス鋼中にチタン、ニオブ等のスタビライザが含まれている場合 | ||||||||||||||||||||||||||||||||||||||||||||||||||||||||||||||||||||||||||||||
| (7) | 第3項の「局部加熱の方法によることができると認められる溶接部」として、例えば、次の溶接部があること。 | ||||||||||||||||||||||||||||||||||||||||||||||||||||||||||||||||||||||||||||||
| ア | 胴、管等の周継手 | ||||||||||||||||||||||||||||||||||||||||||||||||||||||||||||||||||||||||||||||
| イ | 管台、フランジ等を取り付ける溶接部(胴板の一部を切り取り取付物を突合せ溶接した部分を除く。) |
||||||||||||||||||||||||||||||||||||||||||||||||||||||||||||||||||||||||||||||
| 37 | 第45条関係 | ||||||||||||||||||||||||||||||||||||||||||||||||||||||||||||||||||||||||||||||
| (1) | 今回の改正により、円筒形第一種圧力容器において周継手以外に溶接部がない場合にあっても、本条が適用されることとなったこと。 | ||||||||||||||||||||||||||||||||||||||||||||||||||||||||||||||||||||||||||||||
| (2) | 次の図に示すような容器において、A部の長手継手がB部の長手継手と同一条件で溶接される場合には、A部をB部に含めて1個の試験板を作成して差し支えないこと。![]() |
||||||||||||||||||||||||||||||||||||||||||||||||||||||||||||||||||||||||||||||
| (3) | 同径かつ同厚の第一種圧力容器であって、2基以上同一条件で同時に製作する場合には、2基目以降の溶接部の機械試験を省略して差し支えないこと。 |
||||||||||||||||||||||||||||||||||||||||||||||||||||||||||||||||||||||||||||||
| 38 | 第47条関係 | ||||||||||||||||||||||||||||||||||||||||||||||||||||||||||||||||||||||||||||||
| (1) | 第1項の試験板の厚さとは、呼び厚さをいうこと。 | ||||||||||||||||||||||||||||||||||||||||||||||||||||||||||||||||||||||||||||||
| (2) | 第2項のJIS B8265の附属書Oによる採取とは、同JISの附属書OのO.2.3の規定をいうこと。 |
||||||||||||||||||||||||||||||||||||||||||||||||||||||||||||||||||||||||||||||
| 39 | 第50条関係 JIS Z3122の曲げ試験における曲げ半径については、JIS B8265の附属書Oの表O.2の規定によること。 |
||||||||||||||||||||||||||||||||||||||||||||||||||||||||||||||||||||||||||||||
| 40 | 第51条関係 クラッド鋼の曲げ試験において、合わせ材部に3mm以上の割れを生じた場合には、強度計算において母材の厚さのみを用いるときであっても、当該曲げ試験を不合格とすること。 |
||||||||||||||||||||||||||||||||||||||||||||||||||||||||||||||||||||||||||||||
| 41 | 第52条関係 第2項のJIS B8265の附属書Oによる採取とは、同JIS の附属書OのO.2.4.3のb)の規定をいうこと。 |
||||||||||||||||||||||||||||||||||||||||||||||||||||||||||||||||||||||||||||||
| 42 | 第53条関係 JIS B8265による衝撃試験の合格基準とは、同JISの8.1.2のc)の4)の規定をいうこと。 |
||||||||||||||||||||||||||||||||||||||||||||||||||||||||||||||||||||||||||||||
| 43 | 第54条関係 JIS B8265による再試験を行うことができる条件とは、同JISの8.1.2のd)の規定をいうこと。 |
||||||||||||||||||||||||||||||||||||||||||||||||||||||||||||||||||||||||||||||
| 44 | 第55条関係 第2項のJIS B8265による衝撃試験の再試験の合格基準とは、同JISの8.1.2のd)の3)の規定をいうこと。 |
||||||||||||||||||||||||||||||||||||||||||||||||||||||||||||||||||||||||||||||
| 45 | 第56条関係 同径かつ同厚の圧力容器を2基以上同一条件で同時に製作した場合の当該圧力容器の溶接継手については、第2項ただし書の「放射線検査の必要がないと認めた溶接継手」として差し支えないこと。 |
||||||||||||||||||||||||||||||||||||||||||||||||||||||||||||||||||||||||||||||
| 46 | 第57条関係 第1項の規定に適合する余盛りの高さとして、例えば、JIS B8265の6.3.3の規定によるものがあること。 |
||||||||||||||||||||||||||||||||||||||||||||||||||||||||||||||||||||||||||||||
| 47 | 第58条関係 放射線透過試験方法に係る取扱いについては、Iの第2の41によること。 |
||||||||||||||||||||||||||||||||||||||||||||||||||||||||||||||||||||||||||||||
| 48 | 第59条関係 超音波探傷試験を実施した場合には、当該JISに定める記録を作成する必要があること。 |
||||||||||||||||||||||||||||||||||||||||||||||||||||||||||||||||||||||||||||||
| 49 | 第60条関係 | ||||||||||||||||||||||||||||||||||||||||||||||||||||||||||||||||||||||||||||||
| (1) | 磁粉探傷試験を実施した場合には、当該JISに定める試験記録を作成する必要があること。 | ||||||||||||||||||||||||||||||||||||||||||||||||||||||||||||||||||||||||||||||
| (2) | 第3項のJIS B8265による磁粉探傷試験の合格基準とは、同JISの8.3のc)の2)の規定をいうこと。 | ||||||||||||||||||||||||||||||||||||||||||||||||||||||||||||||||||||||||||||||
| (3) | 第3項の「これと同等と認められる規格」として、例えば、JIS B8265の8.3のc)の3)の規定による方法があること。 |
||||||||||||||||||||||||||||||||||||||||||||||||||||||||||||||||||||||||||||||
| 50 | 第61条関係 | ||||||||||||||||||||||||||||||||||||||||||||||||||||||||||||||||||||||||||||||
| (1) | 浸透探傷試験を実施した場合には、当該JISに定める試験記録を作成する必要があること。 | ||||||||||||||||||||||||||||||||||||||||||||||||||||||||||||||||||||||||||||||
| (2) | 第3項のJIS B8265による浸透探傷試験の合格基準とは、同JISの8.3のd)の2)の規定をいうこと。 | ||||||||||||||||||||||||||||||||||||||||||||||||||||||||||||||||||||||||||||||
| (3) | 第3項の「これと同等と認められる規格」として、例えば、JIS B8265の8.3のd)の3)の規定による方法があること。 |
||||||||||||||||||||||||||||||||||||||||||||||||||||||||||||||||||||||||||||||
| 51 | 第63条関係 | ||||||||||||||||||||||||||||||||||||||||||||||||||||||||||||||||||||||||||||||
| (1) | 第1項第4号の規定は、ほうろう引き又はガラスライニングの施工前及び施工後にそれぞれの圧力において試験を行うことをいうものであること。 なお、樹脂ライニング等を行った第一種圧力容器についても適用するものであること。 |
||||||||||||||||||||||||||||||||||||||||||||||||||||||||||||||||||||||||||||||
| (2) | ジャケット付き圧力容器で本体胴のみほうろう引きする場合等容器の一部をほうろう引きするときは、当該部分及びジャケット部に第1項第4号の規定を適用するものであること。 | ||||||||||||||||||||||||||||||||||||||||||||||||||||||||||||||||||||||||||||||
| (3) | 本体胴の内部を負圧として用いるジャケット付き圧力容器のジャケット部等ゲージ圧力により第1項又は第3項の圧力を定めることが適当でないものについては、負圧となる部分との差圧を最高使用圧力として、本条を適用すること。 | ||||||||||||||||||||||||||||||||||||||||||||||||||||||||||||||||||||||||||||||
| (4) | 第5項の圧力の温度補正の算式におけるσn/σa
は、使用材料について得られた値のうち最小の値をとること。 |
||||||||||||||||||||||||||||||||||||||||||||||||||||||||||||||||||||||||||||||
| 52 | 第64条関係 | ||||||||||||||||||||||||||||||||||||||||||||||||||||||||||||||||||||||||||||||
| (1) | 第1項関係 | ||||||||||||||||||||||||||||||||||||||||||||||||||||||||||||||||||||||||||||||
| ア | 安全弁その他の安全装置の性能については、JIS B8266の12.1.6のa)の規定によること。ただし、同規定中のb)及びc)に係る規定は、適用しないものであること。 | ||||||||||||||||||||||||||||||||||||||||||||||||||||||||||||||||||||||||||||||
| イ | 圧力容器で2個以上の安全弁を備えるものにあっては、その一部をばねパイロット付安全弁とすることができること。この場合において、当該圧力容器に必要とされる安全弁の総吹出し量の2分の1以上は、ばねパイロット付安全弁以外のばね安全弁によること。 この場合のばねパイロット付安全弁は、当該安全弁が取り付けられた箇所の蒸気の圧力によって確実に作動するものであること。 |
||||||||||||||||||||||||||||||||||||||||||||||||||||||||||||||||||||||||||||||
| ウ | 常圧蒸留塔のリボイラーの管側(蒸留塔に接続する側)が次の図に示すように蒸留塔及びコンデンサを経て大気に開放されている場合で、かつ、管側の最高使用圧力が蒸留塔下部の圧力より大である場合には、第1項ただし書により、リボイラーの管側には安全弁を備える必要はないこと。![]() なお、ジャケット付き圧力容器において水蒸気により被加熱液を加熱蒸発させる場合であって、被加熱液側の最高使用圧力を加熱水蒸気の最高温度における当該被加熱液の飽和圧力以上としたときは、被加熱液側に安全装置を設けなくても差し支えないこと。 |
||||||||||||||||||||||||||||||||||||||||||||||||||||||||||||||||||||||||||||||
| エ | 容器内の圧力が上昇する要因のない反応器は、第1項ただし書の反応器には含まれないこと。 | ||||||||||||||||||||||||||||||||||||||||||||||||||||||||||||||||||||||||||||||
| オ | 安全弁の吹出し量は、圧力容器に流入する気体の最大量以上又は圧力容器内において発生する気体の最大量以上とし、また、その算定方法として、例えば、次の方法があること。 | ||||||||||||||||||||||||||||||||||||||||||||||||||||||||||||||||||||||||||||||
| (ア) | 流入する気体の最大量は、次の算式により算定するものとすること。 G =0.0028νρd 2
|
||||||||||||||||||||||||||||||||||||||||||||||||||||||||||||||||||||||||||||||
| (イ) | 直火式第一種圧力容器における蒸気の最大蒸発量は、次の算式により算定すること。
|
||||||||||||||||||||||||||||||||||||||||||||||||||||||||||||||||||||||||||||||
| カ | 蒸気に用いる安全弁の吹出し量の算定方法として、例えば、JIS B8210の附属書JA(安全弁の公称吹出し量の算定方法)の規定による方法があること。 | ||||||||||||||||||||||||||||||||||||||||||||||||||||||||||||||||||||||||||||||
| キ | 「その他の安全装置」として、例えば、次のものがあること。 | ||||||||||||||||||||||||||||||||||||||||||||||||||||||||||||||||||||||||||||||
| (ア) | 自動的に圧力の上昇を停止させる装置 | ||||||||||||||||||||||||||||||||||||||||||||||||||||||||||||||||||||||||||||||
| (イ) | 減圧弁で、その二次側に安全弁を取り付けたもの | ||||||||||||||||||||||||||||||||||||||||||||||||||||||||||||||||||||||||||||||
| (ウ) | 警報装置で、安全弁を併用したもの | ||||||||||||||||||||||||||||||||||||||||||||||||||||||||||||||||||||||||||||||
| (エ) | 逃がし弁(その呼び径が15mm以上のものに限る。)又は逃がし管 なお、逃がし弁にあっては、JIS B8266の12.1.6のa)の規定中「0.02MPa」とあるのは「0.034MPa」と読み替えること。 |
||||||||||||||||||||||||||||||||||||||||||||||||||||||||||||||||||||||||||||||
| (オ) | 破裂板(圧力容器の内容物が安全弁の作動を困難にする場合に限る。) | ||||||||||||||||||||||||||||||||||||||||||||||||||||||||||||||||||||||||||||||
| ク | 圧力調整装置、温度調整装置等は、キの(ア)に該当しないこと。 | ||||||||||||||||||||||||||||||||||||||||||||||||||||||||||||||||||||||||||||||
| ケ | キの(イ)の安全弁と圧力容器との間に止め弁を設けることは、差し支えないこと。 | ||||||||||||||||||||||||||||||||||||||||||||||||||||||||||||||||||||||||||||||
| コ | カ及び第65条の規定は、キの(イ)及び(ウ)に規定する安全装置については適用しないこと。 | ||||||||||||||||||||||||||||||||||||||||||||||||||||||||||||||||||||||||||||||
| サ | キの(オ)の破裂板は、JIS B8226-1(破裂板式安全装置−第1部:一般)、JIS B8226-2(破裂板式安全装置−第2部:安全弁との組合せ)及びJIS B8226-3(破裂板式安全装置−第3部:適用、選定及び取付け)の規定に適合すること。 | ||||||||||||||||||||||||||||||||||||||||||||||||||||||||||||||||||||||||||||||
| シ | スチーム・アキュムレータの最高使用圧力を安全弁により担保することは困難であるので、スチーム・アキュムレータの最高使用圧力がボイラーの最高使用圧力より小さい場合には、キの(イ)に規定する安全装置を備えさせること。 | ||||||||||||||||||||||||||||||||||||||||||||||||||||||||||||||||||||||||||||||
| ス | 染色そう又はストレージタンクのように間接加熱をする容器で、被加熱側が高温の液でベーパがほとんど発生しない場合には、安全弁に代わる安全装置として逃がし弁を認めて差し支えないこと。 なお、ストレージタンク等に取り付ける逃がし弁については、弁径に対する制限はないものと解して差し支えないこと。 |
||||||||||||||||||||||||||||||||||||||||||||||||||||||||||||||||||||||||||||||
| セ | 安全弁と容器の間又は安全弁の吹き出し先に止め弁その他の閉止装置を設けてはならないこと。 ただし、次のいずれかに該当する場合にはこの限りでないこと。 |
||||||||||||||||||||||||||||||||||||||||||||||||||||||||||||||||||||||||||||||
| (ア) | 2個以上の安全弁を備え、かつ、それらを同時に閉止することができない装置を設けた場合 | ||||||||||||||||||||||||||||||||||||||||||||||||||||||||||||||||||||||||||||||
| (イ) | ボイラー及び圧力容器安全規則第75条第1項ただし書の第一種圧力容器について、閉止装置を安全弁の検査又は修理のために必要最小限の時間閉止するとき以外のときは常に全開し、かつ、これをみだりに操作できないよう、施錠、封印又はこれらと同等以上の措置を講じ、併せて操作禁止の表示札の取付けを行う場合(安全弁と容器の間に閉止装置を設ける場合に限る。) なお、閉止装置を閉止した場合は、次の措置をすべて講じること。 [1] 当該第一種圧力容器の運転を安定した状態にし、かつ、運転条件を変更しないこと。 [2] 当該第一種圧力容器及び関連設備の圧力を常時監視するとともに、圧力の異常上 昇時における対応をあらかじめ準備しておくこと。 [3] 安全弁を検査又は修理のために取り外す場合は、あらかじめ予備の安全弁を用意 し、直ちに取り付ける等閉止時間を可能な限り短くする措置を講じること。 |
||||||||||||||||||||||||||||||||||||||||||||||||||||||||||||||||||||||||||||||
| (ウ) | 引火性又は有毒性の蒸気を発生する第一種圧力容器であって安全弁の吹出し先がフレアスタック等に通じる配管に連結されているものについて、容器の運転中は閉止装置を常に全開し、かつ、これをみだりに操作できないよう、施錠、封印又はこれらと同等以上の措置を講じ、併せて操作禁止の表示札の取付けを行う場合(安全弁の吹出し先に閉止装置を設ける場合に限る。) | ||||||||||||||||||||||||||||||||||||||||||||||||||||||||||||||||||||||||||||||
| (2) | 第3項関係 「安全に処理できる構造」として、例えば、安全弁から吹き出された蒸気を屋外の高所等火気その他点火源となるおそれがあるものがない場所に拡散する等により、引火又は爆発の危険を除去する構造があること。 |
||||||||||||||||||||||||||||||||||||||||||||||||||||||||||||||||||||||||||||||
| 53 | 第65条関係 第1項の「揚程式安全弁及び全量式安全弁」の取扱いについては、Iの第2の45によること。 |
||||||||||||||||||||||||||||||||||||||||||||||||||||||||||||||||||||||||||||||
| 54 | 第67条関係 「ふたの急速開閉装置」とは、クラッチドアー式、上下スライド式、ラジアルアーム式(放射状棒締付け式)等の開閉装置をいうものであること。 なお、クラッチドアー式のクラッチ爪を使用する場合で、次の図に示すようにクラッチ爪をふた板に溶接するときは、完全溶込みの突合せ溶接とし、全線放射線検査及び溶接後熱処理を行うものとすること。 この場合において、同図のA部には、小さな丸みをつけること。 ![]() |
||||||||||||||||||||||||||||||||||||||||||||||||||||||||||||||||||||||||||||||
| 55 | 第68条関係 | ||||||||||||||||||||||||||||||||||||||||||||||||||||||||||||||||||||||||||||||
| (1) | 本条の規定に適合する圧力計のコックをサイホン管に取り付ける方法として、例えば、サイホン管の垂直な部分に取り付け、かつ、そのハンドルを管軸と同一方向に置いたときに開いているようにする方法があること。 | ||||||||||||||||||||||||||||||||||||||||||||||||||||||||||||||||||||||||||||||
| (2) | 飽和蒸気又は飽和液のように圧力と温度との間に一定の関係がある液体を内部に保有する圧力容器に取り付けた温度を検出して圧力を知る装置等は、「圧力計」とみなして差し支えないこと。 | ||||||||||||||||||||||||||||||||||||||||||||||||||||||||||||||||||||||||||||||
| (3) | 第64条第1項ただし書の圧力容器の部分又は52の(1)のキの(ア)若しくは(イ)に掲げる安全装置を備える圧力容器の部分に取り付ける圧力計については、当該圧力容器の部分が達し得る最高の圧力を最高使用圧力とみなして第2号を適用して差し支えないこと。 |
||||||||||||||||||||||||||||||||||||||||||||||||||||||||||||||||||||||||||||||
| 56 | 第72条関係 第二種圧力容器の受注者と製造者が異なる場合には、第1号の製造者は実際に製造を行った者とすること。ただし、受注者の名称を併記することは差し支えないこと。 |
||||||||||||||||||||||||||||||||||||||||||||||||||||||||||||||||||||||||||||||
| 57 | 第73条関係 | ||||||||||||||||||||||||||||||||||||||||||||||||||||||||||||||||||||||||||||||
| (1) | 厚さが25mm以上の溶接部を普通ボイラー溶接士が溶接した場合であっても、ボイラー溶接士が溶接を行ったものとして溶接効率を定めて差し支えないこと。 | ||||||||||||||||||||||||||||||||||||||||||||||||||||||||||||||||||||||||||||||
| (2) | 次の場合については、本条において準用する第42条第2項の表によって差し支えないこと。 | ||||||||||||||||||||||||||||||||||||||||||||||||||||||||||||||||||||||||||||||
| ア | 自動溶接機(溶接施行法試験により性能が確認されたものに限る。)によって溶接を行う場合 | ||||||||||||||||||||||||||||||||||||||||||||||||||||||||||||||||||||||||||||||
| イ | 溶接施行法試験により溶接の諸条件を確認の後、溶接部について第一種圧力容器に係る検査・試験と同等の検査・試験を実施した場合 | ||||||||||||||||||||||||||||||||||||||||||||||||||||||||||||||||||||||||||||||
| (3) | 鋼管製造業者が1の(4)に掲げられている材料を溶接して作った大径鋼管は、第二種圧力容器に使用して差し支えないこと。この場合においては、溶接の種類を示す資料を明細書に添付すること。 | ||||||||||||||||||||||||||||||||||||||||||||||||||||||||||||||||||||||||||||||
| (4) | 次の図に示すように2枚の平板とこれにろう付けした波形フィンで構成される単体を幾層も重ね合わせて容器を構成し、相隣り合う2層の間において流体の熱交換を行わせる熱交換器の工作方法等は、次によって差し支えないこと。 | ||||||||||||||||||||||||||||||||||||||||||||||||||||||||||||||||||||||||||||||
| ア | 工作については、平板と波形フィンを交互に積み重ねて、特殊溶融塩中に浸漬し、ろう付けすること。 | ||||||||||||||||||||||||||||||||||||||||||||||||||||||||||||||||||||||||||||||
| イ | 熱交換器の強度については、波形フィンを平板のステーとして、平板及びフィンの強度を算出すること。この場合において、ろう付けの継手効率は、継手についての試験の結果により定めること。 | ||||||||||||||||||||||||||||||||||||||||||||||||||||||||||||||||||||||||||||||
| ウ | 水圧試験については、次の水圧試験要領及び判定基準により実施すること。 | ||||||||||||||||||||||||||||||||||||||||||||||||||||||||||||||||||||||||||||||
| (ア) | 被検査容器の各部に水を満たすこと。 | ||||||||||||||||||||||||||||||||||||||||||||||||||||||||||||||||||||||||||||||
| (イ) | 容器の各部について、低い最高使用圧力を有する部分から順次、次の手順によって水圧試験を行うこと。 [1] 加圧しない各部に水柱計を接続すること。 [2] 加圧装置にて試験圧力まで加圧し、そのままの状態で30分以上保持し、変形、漏えい の有無を確認する。目視にて確認できる変形、漏えいのあるものは、不合格とすること。 [3] 加圧部、隣接部の変形、漏えいの発見には、当該部分に立てられた水柱計を利用する こと。 ![]() |
||||||||||||||||||||||||||||||||||||||||||||||||||||||||||||||||||||||||||||||
| 58 | 附則関係 第2項の「現に製造している」及び「現に存する」の意味については、Iの第2の69によること。 |
||||||||||||||||||||||||||||||||||||||||||||||||||||||||||||||||||||||||||||||